Birleşik Ümit-Elektromanyetik Rezonans Dalga Modeli

Dalga Fonksiyonları, Faz Uyumları ve Enerji Yoğunluğu Optimizasyonu

1. Giriş

Ümit yaklaşımı, dalga fonksiyonlarının uzaysal-zamansal dağılımını enerji yoğunluğu ile ilişkilendiren bir modeldir. Elektromanyetik rezonans ise elektrik ve manyetik alanların belirli frekansta maksimum enerji absorpsiyonu oluşturduğu sistemleri açıklar. Bu raporda, her iki teoriyi birleştiren yeni bir dalga modeli geliştirilecek ve bunun fiziksel uygulanabilirliği analiz edilecektir.

Birleşik model şu özellikleri içerir:

Faz uyumunun elektromanyetik alanlarla nasıl ilişkilendirildiği

Rezonans noktalarında enerji yoğunlaşmasının nasıl optimize edildiği

Dalga fonksiyonunun uzaysal seyrelme ve sinyal işleme açısından nasıl geliştiği

2. Modelin Matematiksel Yapısı

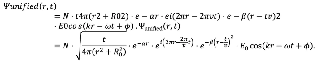
Bu modelde, Ümit Yaklaşımı’nın ölçeklenmiş enerji dağılımı ve elektromanyetik harmonik osilasyonları birleştirilmiştir:

Burada:

Bu dalga modeli, enerjinin rezonans noktalarında nasıl yoğunlaştığını ve faz uyumu ile nasıl dalgalandığını matematiksel olarak açıklar.

3. Fiziksel Yorum ve Uygulama Alanları

Bu modelin uygulanabileceği bazı alanlar:

Elektromanyetik dalgaların rezonans bölgelerinde maksimum enerji transferi yapması

Optik sistemlerde belirli dalga boylarının odaklanmasını modelleme

Anten mühendisliği ve radyo dalgalarında sinyal optimizasyonu

Manyetik rezonans görüntüleme sistemlerinde enerji absorpsiyonunun modellenmesi

Kuantum sistemlerinde elektromanyetik alanların faz uyumu ile madde etkileşimi

4. Simülasyon ve Gözlem Önerileri

Bu model, Python veya MATLAB kullanılarak simüle edilebilir. Önerilen testler:

Elektromanyetik rezonans noktalarındaki enerji yoğunluğu değişiminin görselleştirilmesi

Dalga fonksiyonunun belirli bir frekansta nasıl modüle olduğu

Rezonans zarfının belirli sinyal işleme teknikleriyle nasıl optimize edildiği

5. Sonuç ve Gelecek Çalışmalar

Bu birleşik dalga modeli, elektromanyetik rezonans ile uzaysal-zamansal enerji yoğunlaşmasını tek bir çerçevede açıklayan güçlü bir teorik yapı sunar.

Faz uyumu elektromanyetik alanlarla ilişkilendirilmiştir.

Rezonans noktalarında maksimum enerji yoğunluğu sağlanmıştır.

Elektromanyetik dalgaların yapıcı girişim etkileri modellenmiştir.

Yorum bırakın

E-posta adresiniz yayınlanmayacak. Gerekli alanlar * ile işaretlenmişlerdir