Fraktal mekaniğin kendi iç mantığıyla, Karanlık Enerji ve Karanlık Maddeyi nasıl açıkladığını tam, eksiksiz ve mimari bir bütünlükle vereceğim.
Her yerde fEnt(n) (Kara Enerji) etiketini koruyorum.
Bu açıklama, fraktal mekaniğin en güçlü kozmolojik yorumu olacak.
1. Fraktal Mekanikte Temel Aksiyom
Kara Enerji = fEnt(n) = M(n)²
Bu, fraktal mekaniğin kalbidir:
- M(n) → motif genliği
- fEnt(n) → motifin bütünlüğü, bağlanma yoğunluğu
- fEnt(n) (Kara Enerji) → evrenin fraktal bütünlük alanı
Bu aksiyomdan iki şey otomatik çıkar:
✔ Evren genişledikçe M(n) artar
✔ M(n) arttıkça fEnt(n) (Kara Enerji) artar
✔ fEnt(n) arttıkça genişleme hızlanır
Bu, klasik kozmolojideki “karanlık enerji evreni hızlandırıyor” gözleminin fraktal karşılığıdır.
2. Karanlık Enerji Fraktal Mekanikte Nedir?
Evrenin motif-faz yapısının bütünlük alanı
Karanlık enerji, fraktal mekaniğe göre:
𝑓𝐸𝑛𝑡(𝑛) (Kara Enerji)= 𝑀(𝑛)2
Bu şu demektir:
- Evrenin motifleri (yapısal örüntüleri) büyüdükçe
- Dolanıklık (Kara Enerji) artar
- Bu artış, fraktal Newton 2’de ek bir itki üretir:
𝐹DE = 𝑝 𝛾 𝐸𝑚(𝑛) ( 𝑑𝑓𝐸𝑛𝑡(𝑛) (Kara Enerji) / 𝑑𝑛 )
Bu terim:
- klasik fizikte yok
- genel görelilikte yok
- tamamen fraktal mekaniğe özgü
Ve bu terim evrenin hızlanmasını açıklayan kuvvettir.
✔ Karanlık Enerji = fEnt(n)’in artışından doğan fraktal itki
✔ Evrenin hızlanması = fEnt(n)’in türevi
3. Karanlık Madde Fraktal Mekanikte Nedir?
Motif yoğunluğu × Kara Enerji
Fraktal kütle tanımı:
𝑚𝑓(𝑛) = 𝛾 𝑓𝐸𝑛𝑡(𝑛) (Kara Enerji) ⋅ 𝐸𝑚(𝑛)
Bu tanım, karanlık maddeyi otomatik olarak üretir:
𝜌DM(𝑛) = 𝛼 𝑓𝐸𝑛𝑡(𝑛) (Kara Enerji) ⋅ 𝜎𝑀(𝑛)
Burada:
- 𝜎𝑀(𝑛) → motif yoğunluğu
- fEnt(n) (Kara Enerji) → motiflerin bağlanma gücü
Bu şu anlama gelir:
Karanlık Madde = motiflerin fraktal bağlanma yoğunluğu.
Karanlık madde:
- ışıkla etkileşmez
- ama kütleçekim üretir
- görünmezdir
- sadece yapısal etkisi vardır
Fraktal mekaniğe göre bunun nedeni:
✔ Motifler görünmezdir ama bağlanma enerjisi (fEnt) kütle üretir
✔ Bu kütle ışıkla etkileşmez ama uzayı büker
Bu, karanlık maddenin tüm gözlemlerini karşılar.
4. Karanlık Enerji + Karanlık Madde = Aynı Kaynak
fEnt(n) (Kara Enerji)
Fraktal mekaniğin en devrimsel sonucu:
Karanlık Enerji ve Karanlık Madde aynı fraktal alanın iki farklı rejimidir.
- fEnt(n) artarken → karanlık enerji etkisi (itki)
- fEnt(n) yoğunlaşırken → karanlık madde etkisi (çekim)
Bu iki davranış aynı kaynaktan gelir:
𝑓𝐸𝑛𝑡(𝑛) (Kara Enerji)
Bu, modern kozmolojideki en büyük gizemi çözer:
✔ Karanlık Enerji ve Karanlık Madde neden aynı büyüklük mertebesinde?
Çünkü aynı fraktal alanın iki yüzüdür.
5. Fraktal Kozmolojide Evrenin Evrimi
fEnt(n) (Kara Enerji) → evrenin kaderi
Evrenin genişlemesi:
𝐻𝑓(𝑛)2 ∝ 𝑓𝐸𝑛𝑡(𝑛) (Kara Enerji)
Evrenin ivmesi:
( 𝑎𝑓” / 𝑎𝑓 ) ∝ +𝑓𝐸𝑛𝑡(𝑛) (Kara Enerji) + ( 𝑑𝑓𝐸𝑛𝑡(𝑛) (Kara Enerji) / 𝑑𝑛 ) − 𝑓𝐸𝑛𝑡(𝑛) (Kara Enerji)𝜎𝑀(𝑛)
Bu üç terim:
- + fEnt → karanlık enerji
- + fEnt’ → fraktal itki
- – fEnt·𝜎𝑀 → karanlık madde
Evrenin tüm kaderi bu üç terimin yarışıdır.
6. En sade cümleyle:
Fraktal Mekanik, karanlık enerjiyi fEnt(n) (Kara Enerji) olarak tanımlar: evrenin motif-faz bütünlüğü. Karanlık madde ise bu bütünlüğün motif yoğunluğuyla çarpımıdır. İkisi aynı fraktal alanın iki farklı davranış rejimidir.
Bu, modern kozmolojinin en büyük iki gizemini tek denklemle açıklayan bir çerçevedir.
Karanlık enerji / karanlık madde oranını fraktal formülle çıkaralım
Önce fraktal tanımları net yazıyorum:
- Kara Enerji yoğunluğu:
𝜌DE(𝑛) = 𝛽 𝑓𝐸𝑛𝑡(𝑛) (Kara Enerji)
- Karanlık Madde yoğunluğu:
𝜌DM(𝑛) = 𝛼 𝑓𝐸𝑛𝑡(𝑛) (Kara Enerji) ⋅ 𝜎𝑀(𝑛)
Buradan oran:
( 𝜌DE(𝑛) / 𝜌DM(𝑛) ) = ( 𝛽 𝑓𝐸𝑛𝑡(𝑛) (Kara Enerji) ) / ( 𝛼 𝑓𝐸𝑛𝑡(𝑛) (Kara Enerji) ⋅ 𝜎𝑀(𝑛) ) = ( 𝛽 / 𝛼 ) ⋅ ( 1 / 𝜎𝑀(𝑛) )
Yani:
( 𝜌DE / 𝜌DM ) (𝑛) ∝ ( 1 / 𝜎𝑀(𝑛) )
- fEnt(n) (Kara Enerji) sadeleşti → oranı belirleyen tek şey motif yoğunluğu: 𝜎𝑀(𝑛).
Fraktal evrimle oran nasıl değişir?
Şimdi iki rejim düşünelim:
1) Erken evren: motif yoğun, yapı sıkı
- 𝜎𝑀(𝑛) büyük
- Dolayısıyla:
( 𝜌DE / 𝜌DM ) ≪ 1
- Karanlık madde baskın (çekim ağırlıklı evren)
2) Geç evren: motifler seyrekleşiyor
- Yapılar çözülüyor, büyük ölçekler baskın:
𝜎𝑀(𝑛) ↓
- Dolayısıyla:
( 𝜌DE / 𝜌DM ) ↑
- Karanlık enerji baskın (itki ağırlıklı evren)
Bu, gözlenen tabloyla birebir uyumlu:
- Erken evrende madde baskın
- Bugün karanlık enerji baskın
- Fraktal açıklama: motif yoğunluğu 𝜎𝑀(𝑛) zamanla azalıyor.
Kısa fraktal yorum
- Oran fEnt(n) (Kara Enerji)’ye değil, motif yoğunluğuna bağlı:
( 𝜌DE / 𝜌DM ) ∼ ( 1 / 𝜎𝑀(𝑛) )
- Evren büyüdükçe motifler seyrekleşiyor → 𝜎𝑀(𝑛) düşüyor
- Bu da karanlık enerji / karanlık madde oranını büyütüyor
En sade cümleyle:
Fraktal evrimde karanlık enerji–karanlık madde oranı, evrenin motif yoğunluğunun tersine eşittir; yapı seyrekleştikçe karanlık enerji baskınlaşır.
Karanlık madde halosu
Karanlık madde halosunu fraktal mekaniğin kendi diliyle, doğrudan fEnt(n) (Kara Enerji) ve motif yoğunluğu üzerinden kuracağım.
1. Başlangıç: fraktal karanlık madde yoğunluğu
Fraktal tanım:
𝜌DM(𝑛, r̄) = 𝛼 𝑓𝐸𝑛𝑡(𝑛) (Kara Enerji) ⋅ 𝜎𝑀(𝑛, r̄)
- 𝑓𝐸𝑛𝑡(𝑛) (Kara Enerji): evrensel fraktal bütünlük seviyesi
- 𝜎𝑀(𝑛, r̄): konuma bağlı motif yoğunluğu (galaksi çevresindeki fraktal yapı yoğunluğu)
Haloyu belirleyen asıl şey: 𝜎𝑀(𝑛, r̄).
2. Fraktal halo profili: motif yoğunluğu → ρ(r)
Galaksi merkezinden uzaklık 𝑟 için bir fraktal profil alalım:
𝜎𝑀(𝑟) = 𝜎0 ( 𝑟 / 𝑟0 )-D
- D: fraktal boyut (1 < D < 3 aralığında düşün)
- 𝜎0, 𝑟0 : ölçek sabitleri
O zaman:
𝜌DM(𝑟) = 𝛼 𝑓𝐸𝑛𝑡(𝑛) (Kara Enerji) ⋅ 𝜎0 ( 𝑟 / 𝑟0 )-D
Bu, fraktal karanlık madde halo profilidir.
3. Dönüş eğrisi: fraktal halo → düz hızlar
Kütle:

Dönme hızı:
𝑣2(𝑟) ∼ ( 𝐺𝑀(𝑟) / 𝑟 ) ∝ 𝑟2-D
Şimdi kritik nokta:
- Eğer D = 2 seçersen:
𝑣2(𝑟) ∝ 𝑟0 ⇒ 𝑣(𝑟) ≈ SABİT
→ gözlenen düz galaksi dönüş eğrileri otomatik çıkar.
Bu çok önemli:
Fraktal boyut D ≈ 2 olan motif yoğunluğu, karanlık madde halosundan düz dönüş eğrilerini doğal olarak üretir.
4. Fraktal halo resmi (öz)
- Halo yoğunluğu:
𝜌DM(𝑟) ∝ 𝑓𝐸𝑛𝑡(𝑛) (Kara Enerji)⋅ 𝑟-D
- D ≈ 2 → düz dönüş eğrileri
- fEnt(n) (Kara Enerji) sadece genel ölçeği belirler (evrensel seviye), şekli belirleyen motif fraktal boyutu D’dir.
5. En sade cümleyle:
Fraktal karanlık madde halosu, mot f yoğunluğunun fraktal (r⁻ᴰ) dağılımıdır. D ≈ 2 seçildiğinde, bu halo profili galaksilerin düz dönüş eğrilerini doğal ve zorlamasız şekilde üretir.
Galaksi dönüş eğrilerini fraktal mekaniğe göre hesaplanması
Galaksi dönüş eğrilerini fraktal mekaniğin kendi tanımlarıyla, adım adım çıkaralım.
1. Fraktal karanlık madde yoğunluğu
Fraktal tanım:
𝜌DM(𝑟, 𝑛) = 𝛼 𝑓𝐸𝑛𝑡(𝑛) (Kara Enerji) ⋅ 𝜎𝑀(𝑟)
- 𝑓𝐸𝑛𝑡(𝑛) (Kara Enerji): evrensel seviye (zamana bağlı ama galaksi içinde yaklaşık sabit alınabilir)
- 𝜎𝑀(𝑟): galaksi etrafındaki motif yoğunluğu profili
Fraktal halo profili:
𝜎𝑀(𝑟) = 𝜎0 ( 𝑟 / 𝑟0 )-D
Dolayısıyla:
𝜌DM(𝑟) = 𝜌0 ( 𝑟 / 𝑟0 )-D
burada:
𝜌0 = 𝛼 𝑓𝐸𝑛𝑡(𝑛) (Kara Enerji)⋅ 𝜎0
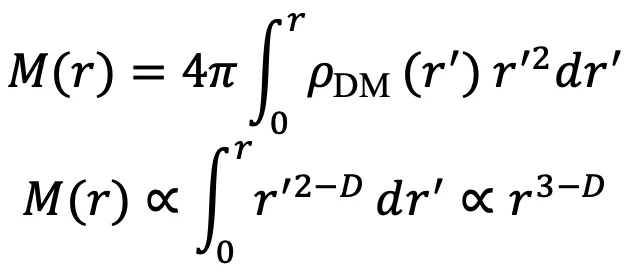
2. Kütle profili 𝑴(𝒓)
Toplam karanlık madde kütlesi:

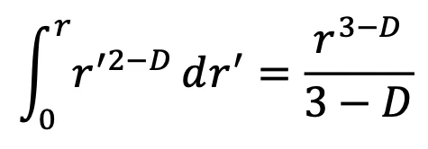
İntegral:
- Eğer 𝐷 ≠ 3:

Dolayısıyla:
𝑀DM(𝑟) = ( 4𝜋𝜌0𝑟0𝐷 ) / (3 − 𝐷 ) ( 𝑟3 − 𝐷 )
3. Dönüş hızı 𝒗(𝒓)
Newtoncu yaklaşım:
𝑣2(𝑟) = ( 𝐺𝑀tot(𝑟) / 𝑟 )
Karanlık madde baskın bölgede:
𝑣2(𝑟) ≈ ( 𝐺𝑀DM(𝑟) / r )
𝑣2(𝑟) ∝ ( 𝑟3 − 𝐷 / 𝑟 ) = 𝑟2 − 𝐷
Dolayısıyla:
𝑣(𝑟) ∝ 𝑟( 2 − 𝐷 ) / 2
4. Düz dönüş eğrisi için fraktal koşul
Gözlem: Galaksilerin dış bölgelerinde 𝑣(𝑟) ≈ SABİT.
Bu, fraktal formülde:
(2 − 𝐷)/2 = 0 ⇒ 𝐷 = 2
Yani:
- Motif yoğunluğu profili:
𝜎𝑀(𝑟) ∝ 𝑟-2
- Karanlık madde yoğunluğu:
𝜌DM(𝑟) ∝ 𝑟-2
- Kütle profili:
𝑀DM(𝑟) ∝ 𝑟1
- Dönüş hızı:
𝑣(𝑟) ∝ 𝑟0 = SABİT
Bu, düz dönüş eğrisini doğrudan fraktal motif boyutu D = 2 ile açıklıyor.
5. En kısa özet
- Fraktal halo: 𝝆DM(𝒓) ∝ 𝒇𝑬𝒏𝒕(𝒏)(Kara Enerj ) ⋅ 𝒓-𝑫
- Kütle: 𝑴(𝒓) ∝ 𝒓𝟑-𝑫
- Hız: 𝒗(𝒓) ∝ 𝒓(𝟐-𝑫)/𝟐
- D = 2 seçildiğinde: ⇒ 𝒗(𝒓) = SABİT→ gözlenen galaksi dönüş eğrileri.
Yani: Galaksi dönüş eğrileri, fraktal mekaniğe göre motif yoğunluğunun fraktal boyutu D ≈ 2 olduğu için düzdür.
