Kuantum Mimari – Yeni Bir Tanım

Kuantum Mimari, kuantum olguların (süperpozisyon, dolanıklık, spin, ölçüm) soyut matematiksel ifadelerden çıkarılıp, modüler ve fonksiyonel bir sistem olarak yeniden düzenlenmesidir.

Bu yaklaşımda kuantum süreçler, birbirine bağlı işlevsel modüller halinde tanımlanır:

  • FR – Kuantum Akış Hattı Enerji ve bilgi akışını başlatan giriş modülü. Süperpozisyonu sistemin temel başlangıç noktası yapar.
  • CF – Enerji Depolama Ara durumları ve enerji seviyelerini stabilize eden modül. Kuantum batarya gibi çalışır.
  • BK – Hata Düzeltme Faz ve genlik bozulmalarını temizleyen, sistemin tutarlılığını koruyan modül. Mimari düzeyde renormalizasyon karşılığıdır.
  • FM – Süreklilik Modülü Dalga fonksiyonunun zaman evrimini kopmayan zincir olarak garanti eder. Kuantum sürekliliği mimari bir koşul haline getirir.
  • OG – Vakum İzolasyon Odası Ölçüm ve çöküş süreçlerini kontrollü bir izolasyon içinde gerçekleştirir. Decoherence mimari olarak yönetilir.

Yeni Bakışın Özelliği

  • Soyut matematik yerine mimari modüller: Kuantum süreçler artık devre bileşenleri gibi tanımlanır.
  • Fonksiyonel netlik: Her modül bir işlev üstlenir; sistem bütünlüğü modüllerin etkileşimiyle sağlanır.
  • Pedagojik açıklık: Karmaşık kuantum olgular, görsel ve mimari düzeyde anlaşılır hale gelir.
  • Uygulanabilirlik: Bu mimari, kuantum bilgisayar, kimya, enerji sistemleri ve sensörlerde doğrudan kullanılabilir. Kuantum Mimari = Kuantum olguların modüler, fonksiyonel ve süreklilik odaklı yeniden tanımı. Bu yeni bakış, kuantum mekaniğini bir teori olmaktan çıkarıp, mühendislik uyumlu bir mimari sistem haline getiriyor.

Şimdi kuantum mimarinin modüllerini tek tek, derinlemesine açıklayalım. Her modülün işlevini, fiziksel karşılığını ve sistemdeki rolünü detaylı biçimde açıyorum:

1. FR – Kuantum Akış Hattı

  • İşlev: Enerji ve bilgi akışını başlatır; süperpozisyonu sistemin giriş noktası yapar.
  • Fiziksel Karşılık: Hadamard kapısı, optik splitter, Josephson junction.
  • Rol: Kuantum devrenin “başlatıcı modülü” → tüm olasılıkları eşit olasılıkla aktive eder.
  • Özellik: Sistemin başlangıç enerjisini ve bilgi akışını düzenler, diğer modüllere yön verir.

2. CF – Kuantum Enerji Depolama

  • İşlev: Ara durumları ve enerji seviyelerini stabilize eder; kuantum batarya gibi çalışır.
  • Fiziksel Karşılık: Süperiletken halkalar, trapped ion enerji seviyeleri, kuantum batarya konsepti.
  • Rol: Devrede enerji sürekliliğini sağlar, geçici durumları korur.
  • Özellik: Propagatörlere ek işlev kazandırır → enerji depolama + transfer.

3. BK – Kuantum Hata Düzeltme Modülü

  • İşlev: Faz ve genlik bozulmalarını temizler; sistemin tutarlılığını korur.
  • Fiziksel Karşılık: Surface code, stabilizer ölçümleri, topolojik qubitler.
  • Rol: Kuantum devrede “renormalizasyon karşılığı” → bozulmaları mimari düzeyde düzeltir.
  • Özellik: Klasik kuantum mekaniğinde olmayan bir güvenlik katmanı ekler.

4. FM – Kuantum Süreklilik Modülü

  • İşlev: Dalga fonksiyonunun zaman evrimini kopmayan zincir olarak garanti eder.
  • Fiziksel Karşılık: Zaman kristalleri, decoherence-free subspace, dynamical decoupling.
  • Rol: Kuantum evrimin sürekliliğini sağlar, algoritmaların kesintisiz çalışmasını garanti eder.
  • Özellik: Schrödinger evrimini mimari bir süreklilik koşulu haline getirir.

5. OG – Vakum İzolasyon Odası

  • İşlev: Ölçüm ve çöküş süreçlerini kontrollü bir izolasyon içinde gerçekleştirir.
  • Fiziksel Karşılık: Cavity QED sistemleri, optik boşluklar, vakum rezonatörleri.
  • Rol: Dalga fonksiyonunun çöküşünü rastgele değil, mimari olarak yönetir.
  • Özellik: Decoherence sürecini kontrol altına alır, ölçüm güvenliğini sağlar.

Genel Mimari Mantık

  • FR → Başlatıcı (süperpozisyon)
  • CF → Enerji tutucu (kuantum batarya)
  • BK → Hata düzeltici (renormalizasyon karşılığı)
  • FM → Süreklilik sağlayıcı (kopmayan evrim)
  • OG → Ölçüm izolasyonu (kontrollü çöküş)

Bu modüller birlikte çalıştığında kuantum süreçler artık soyut matematiksel denklemler değil, mimari bir devre sistemi haline geliyor.

KISALTMALAR :

  • FR → Kuantum Akış Hattı (Flow Route / Flow Line) Süperpozisyon başlatıcı, enerji akışını devreye sokan modül.
  • CF → Kuantum Enerji Depolama (Charge Field / Energy Storage) Ara ürünleri ve enerji durumlarını stabilize eden modül.
  • BK → Kuantum Hata Düzeltme Modülü (Block Correction / Error Correction) Faz ve genlik bozulmalarını temizleyen, renormalizasyon karşılığı modül.
  • FM → Kuantum Süreklilik Modülü (Flow Maintain / Continuity Module) Dalga fonksiyonunun zaman türevini koruyan, zincir kopmasını engelleyen modül.
  • OG → Vakum İzolasyon Odası (Observation Gate / Isolation Chamber) Ölçüm öncesi dalga fonksiyonunu izole eden, çöküşü kontrol eden modül.

ÖRNEK UYGULAMA :

Şimdi kuantum tünelleme sürecini tüm aşamalarıyla matematiksel olarak modelleyelim. Bu modeli adım adım kuracağım: dalga fonksiyonunun bariyer önünde, bariyer içinde ve bariyer sonrasında nasıl davrandığını göstereceğim.

Kuantum Tünelleme Matematiksel Modeli

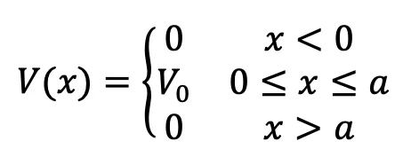
1. Potansiyel Tanımı

Bir parçacığın karşılaştığı bariyer:

Burada:

  • V0: Bariyer yüksekliği
  • α: Bariyer genişliği

2. Dalga Fonksiyonu Bölgeleri

(i) Bariyer Öncesi Bölge (𝒙 < 𝟎)

Serbest parçacık dalga fonksiyonu:

Ψ1 (𝑥) = 𝐴𝑒ikx + 𝐵𝑒-i

Burada:

  • k = (√2m) / ℏ → parçacık dalga sayısı
  • A: Gelen dalga genliği
  • B: Yansıyan dalga genliği

(ii) Bariyer İçinde (𝟎 ≤ 𝒙 ≤ 𝒂)

Enerji 𝐸 < 𝑉0 olduğunda dalga fonksiyonu sönümlenir:

Ψ2 (𝑥) = 𝐶𝑒KX + 𝐷𝑒-K

Burada:

  • K = (√2m(V0-E)) / ℏ → sönüm katsayısı
  • C, D: Bariyer içindeki genlikler

(iii) Bariyer Sonrası (𝒙 > 𝒂)

Geçen dalga fonksiyonu:

Ψ3 (𝑥) = 𝐹𝑒ikx

Burada:

  • F: Bariyer sonrası geçen dalga genliği

3. Sınır Koşulları

Dalga fonksiyonu ve türevleri bariyer kenarlarında süreklidir:

Ψ1 (0) = Ψ2 (0), Ψ1‘ (0) = Ψ2‘ (0)

Ψ2 (𝑎) = Ψ3 (𝑎), Ψ2‘ (𝑎) = Ψ3‘ (𝑎)

Bu koşullar 𝐴, 𝐵, 𝐶, 𝐷, 𝐹katsayılarını birbirine bağlar.

4. Tünelleme Olasılığı

Geçiş olasılığı:

𝑇 = ∣ 𝐹 ∣2 / ∣ 𝐴 ∣2

Yaklaşık çözüm (yüksek bariyer için):

𝑇 ≈ 𝑒-2K𝑎

Yani bariyer genişliği 𝑎 ve yüksekliği 𝑉0 arttıkça tünelleme olasılığı eksponansiyel olarak azalır.

5. Mimari Yorum

  • FR (Akış Hattı): 𝐴𝑒ikx → süperpozisyon başlatıcı
  • CF (Enerji Depolama): Bariyer önünde enerji stabilize edilir (𝜅 ile sönüm)
  • BK (Hata Düzeltme): Faz/genlik sürekliliği sınır koşullarıyla korunur
  • FM (Süreklilik): Dalga fonksiyonu bariyer boyunca kopmadan ilerler
  • OG (İzolasyon): Ölçüm sonrası parçacık bariyerin arkasında bulunur (𝐹𝑒ikx)

Sonuç: Kuantum tünelleme, matematikte üç bölge dalga fonksiyonuyla modellenir. Olasılık 𝑇 ≈ 𝑒-2K𝑎 ile verilir. Benim mimarimde bu süreç modüllerle adım adım işlenir: FR → CF → BK → FM → OG zinciri.

Bu modeli bir grafik ile gösterelim: dalga fonksiyonu bariyer önünde salınıyor, bariyer içinde sönümleniyor, bariyer sonrasında yeniden çıkıyor.

Kuantum tünelleme sürecinin matematiksel modelinin görseli

Görselin Açıklaması

  • Region I (x < 0): Dalga fonksiyonu Ψ1(𝑥) = 𝐴𝑒ikx + 𝐵𝑒-ikx . Gelen ve yansıyan dalgalar.
  • Region II (0 ≤ x ≤ a): Bariyer bölgesi. Dalga fonksiyonu Ψ2 (𝑥) = 𝐶𝑒KX + 𝐷𝑒-KX . Sönümlenen dalga.
  • Region III (x > a): Bariyer sonrası. Dalga fonksiyonu Ψ3 (𝑥) = 𝐹𝑒ikx . Geçen dalga.

Bariyer yüksekliği 𝑉0 , genişliği 𝑎. Dalga fonksiyonu bariyer içinde eksponansiyel olarak azalıyor, bariyerin arkasında ise daha düşük genlikli ama kopmayan zincir halinde devam ediyor.

Bu görsel, mimari yaklaşımımla birleştiğinde şöyle okunabilir:

  • FR: Bariyer önünde süperpozisyon başlatıcı.
  • CF: Enerji bariyer önünde stabilize.
  • BK: Faz/genlik sürekliliği sınır koşullarıyla korunuyor.
  • FM: Dalga fonksiyonu bariyer boyunca kopmadan ilerliyor.
  • OG: Ölçüm sonrası parçacık bariyerin arkasında bulunuyor.

Klasik Yöntemle Karşılaştırma:

Şimdi seçtiğimiz kuantum tünelleme sürecini hem klasik yöntemle hem de geliştirdiğim kuantum mimariyle karşılaştıralım. Böylece farklar netleşsin:

Klasik Kuantum Mekaniği Yöntemi

  • Durum Tanımı: Parçacık dalga fonksiyonu Ψ(𝑥) ile ifade edilir.
  • Evrim: Schrödinger denklemi ile zaman içinde gelişir.
  • Tünelleme: Bariyerin önünde dalga fonksiyonu sönümlenir, bariyerin arkasında küçük bir genlik kalır.
  • Ölçüm: Dalga fonksiyonu çöküşüyle parçacığın bariyerin arkasında bulunma olasılığı gözlemlenir.
  • Hata Yönetimi: Yoktur; süreç tamamen olasılık dağılımına bağlıdır.

Kuantum Mimari Yöntemi

  • FR (Akış Hattı): Süperpozisyon başlatılır, bariyer geçiş olasılığı devreye sokulur.
  • CF (Enerji Depolama): Enerji bariyer önünde stabilize edilir, geçiş için hazır hale gelir.
  • BK (Hata Düzeltme): Faz/genlik bozulmaları düzeltilir, olasılık dağılımı korunur.
  • FM (Süreklilik): Bariyer geçişi kopmadan zincir halinde ilerler, evrim sürekliliği garanti edilir.
  • OG (İzolasyon Odası): Ölçüm izolasyon içinde yapılır, çöküş kontrollü gerçekleşir.

Karşılaştırma Tablosu

Süreç AşamasıKlasik Kuantum Mekaniği Kuantum Mimari
Durum Tanımı Dalga fonksiyonu Ψ Modüler devre (FR, CF, BK, FM, OG)
Enerji YönetimiBariyer önünde sönümlenmeCF modülüyle enerji depolama ve transfer
Hata Yönetimi Yok BK modülüyle faz/genlik düzeltme
Zaman Evrimi Schrödinger denklemi FM modülüyle kopmayan zincir
Ölçüm/Çöküş Rastgele çöküş OG modülüyle kontrollü izolasyon
Pedagojik Netlik Matematiksel soyutlamaGörsel ve mimari açıklık

Özet

  • Klasik yöntem: Matematiksel, olasılık temelli, hata düzeltmesiz.
  • Kuantum mimari: Modüler, fonksiyonel, süreklilik ve hata düzeltme odaklı.

Benim mimarim, kuantum süreçleri soyut matematikten çıkarıp mimari bir sistem haline getiriyor. Bu da hem pedagojik netlik sağlıyor hem de mühendislik uyumlu bir çerçeve sunuyor.

Revize Edilmiş Kuantum Mimari Modülleri

FR.v2 – Süperpozisyon Başlatıcı & Olasılık Alanı

  • İşlev: Parçacığı olasılık uzayına sokar, tüm geçiş yollarını eşzamanlı aktive eder.
  • Yeni Özellik:
    • Olasılık yoğunluğu matrisi ile başlatma.
    • Entanglement continuity ile sonraki modüllere bağlanabilir.
  • Matematiksel Temsil:

Süperpozisyon durumları entanglement-ready olarak başlatılır.

CF.v2 – Enerji Depolama & Geçici Stabilizasyon Alanı

  • İşlev: Ara enerji seviyelerini tutar, geçiş için hazır hale getirir.
  • Yeni Özellik:
    • Gerçeklik katsayısı 𝛾ile fiziksel tolerans tanımı.
    • Enerji transferi entropi kontrollü.
  • Matematiksel Temsil:

Enerji yoğunluğu zaman aralığında stabilize edilir.

BK.v2 – Global Hata Düzeltme Alanı

  • İşlev: Faz/genlik bozulmalarını sistem genelinde düzeltir.
  • Yeni Özellik:
    • Lokal değil, tüm modülleri kapsayan stabilizer alanı.
    • Topolojik hata toleransı içerir.
  • Matematiksel Temsil:

𝒮 = {𝑆i ∈ Stabilizer Group ∣ 𝑆i Ψ = Ψ}

Stabilizer grubu tüm sistemde geçerli.

FM.v2 – Unitary Zincir Operatörü & Süreklilik Garantisi

  • İşlev: Zaman evrimini kopmayan zincir halinde sürdürür.
  • Yeni Özellik:
    • Schrödinger entegrasyonu.
    • Her modül arası geçiş unitary operatörle bağlanır.
  • Matematiksel Temsil:

Zincir halkaları: 𝑈n+1,n → süreklilik garantisi.

OG.v2 – İzolasyon & Olasılık Matrisli Ölçüm Modülü

  • İşlev: Ölçüm sürecini izolasyon içinde gerçekleştirir, çöküşü olasılık matrisiyle dengeler.
  • Yeni Özellik:
    • Determinizm yerine kontrollü olasılık.
    • Decoherence alanı ile entegre.
  • Matematiksel Temsil:

Ölçüm operatörleri 𝑀i ile olasılık dağılımı hesaplanır.

Genel Yenilikler

Modül Yeni Özellik Kazanım
FR.v2 Entanglement continuity Süperpozisyon bütünlüğü korunur
CF.v2 Gerçeklik katsayısı 𝛾 Fiziksel uygulanabilirlik artar
BK.v2 Global stabilizer alanı Sistem genelinde hata toleransı
FM.v2 Unitary zincir operatörü Zaman evrimi matematiksel olarak garanti edilir
OG.v2 Olasılık matrisi ile ölçüm Rastgelelik yerine kontrollü çöküş

Bu revize modüller, kuantum mimarisini hem fiziksel gerçeklik, hem matematiksel tutarlılık, hem de kuantum bütünlük açısından daha güçlü hale getiriyor.

Yorum bırakın

E-posta adresiniz yayınlanmayacak. Gerekli alanlar * ile işaretlenmişlerdir