Atomik Orbitaller İçin Ölçek–Döngü–Yön Tabanlı Yeni Bir Çerçeve
Özet
Klasik kuantum mekaniği, atomik orbitalleri sinüzoidal fazlı ve üstel zayıflamalı dalga fonksiyonlarıyla tanımlar. Bu yaklaşım, doğadaki çok ölçekli spiral yapıları (manyetik alan çizgileri, plazma akışları, galaksi kolları, DNA sarmalları) açıklamakta yetersizdir. Bu çalışmada, dalga fonksiyonunun temel formunu yeniden tanımlayan spiral–fraktal dalga fonksiyonu önerilmektedir:
𝜓(𝑟, 𝜃, 𝜙) = 𝐴0 𝑟-α 𝑒i(𝑘l 𝑟+𝑚𝜙)𝐹(𝜃)
Bu form, üç temel bileşen içerir: (1) Fraktal genlik 𝑟-α, (2) Logaritmik spiral faz 𝑘ln 𝑟, (3) Açısal momentum fazı 𝑚𝜙.
Bu bileşenler birleştiğinde, elektronun hareketi durağan bir bulut yerine spiral–fraktal bir akış olarak ortaya çıkar. Dalga fonksiyonu Schrödinger denklemine yerleştirilmiş, enerji düzeltmeleri türetilmiş ve 1s, 2p, 3d orbitallerinin spiral–fraktal karşılıkları çıkarılmıştır. Sonuçlar, spiral–fraktal modelin atomik spektrumda ölçülebilir sapmalar ürettiğini ve spin ile açısal momentumu tek bir geometrik çerçevede birleştirdiğini göstermektedir.
1. Giriş
Kuantum mekaniği, atomik orbitalleri sinüzoidal fazlı ve üstel zayıflamalı dalga fonksiyonlarıyla tanımlar. Bu yaklaşım, matematiksel olarak tutarlı olsa da doğadaki spiral ve fraktal yapıların kökenini açıklamaz. Gözlemlenen spiral yapılar arasında:
- Manyetik alan çizgileri
- Plazma jetleri
- Galaksi kolları
- DNA çift sarmalı
- Girdap akışları
bulunmaktadır. Bu yapıların ortak özelliği, ölçek bağımlı spiral hareket göstermeleridir.
Literatürde spiral fazlı dalgalar (optik OAM), fraktal dalga fonksiyonları (kuantum kaos) ve logaritmik spiral fazlar (spiral phase plates) ayrı ayrı incelenmiştir. Ancak bu üç bileşeni birleştiren ve atomik orbitallere uygulayan bir çalışma bulunmamaktadır.
Bu makale, dalga fonksiyonunun temel formunu yeniden tanımlayarak bu boşluğu doldurmayı amaçlamaktadır.
2. Spiral–Fraktal Dalga Fonksiyonu
Önerilen dalga fonksiyonu:
𝜓(𝑟, 𝜃, 𝜙) = 𝐴0 𝑟-α 𝑒i(𝑘ln 𝑟+𝑚𝜙)𝐹(𝜃)
2.1. Fraktal Genlik: 𝑟-α
Bu terim, elektron yoğunluğunun üstel değil güç yasası ile azalmasını sağlar.
Bu, fraktal sistemlerde görülen ölçek bağımlı davranışla uyumludur.
2.2. Spiral Faz: 𝑘ln 𝑟
Logaritmik spiral faz, elektronun hareketinin spiral bir iz oluşturmasına neden olur. Bu faz, doğadaki spiral yapıların matematiksel karşılığıdır.
2.3. Açısal Faz: 𝑚𝜙
Bu terim klasik açısal momentum operatörüyle uyumludur:
𝐿Z 𝜓 = ℏ𝑚𝜓
Spin benzeri davranış, spiral faz ile birleştiğinde geometrik bir anlam kazanır.
3. Schrödinger Denklemi ile Uyum
Hidrojen atomu için Schrödinger denklemi:
– ( ℏ2 / 2𝜇 ) ∇2 𝜓 – ( 𝑒2 / 4𝜋𝜖0𝑟 ) 𝜓 = 𝐸𝜓
Spiral–fraktal ansatz Laplasyene sokulduğunda:
∇2 𝜓 = 𝜓 ⋅ 𝑟-2 [(−𝛼 + 𝑖𝑘)(−𝛼) − 𝑚2 + Λ(𝜃)]
Enerji düzeltmesi:
Δ𝐸 = ( ℏ2 / 2𝜇𝑟02 ) [𝛼2 + 𝑘2 + 𝑚2 − Λ(𝜃)]
Bu sonuç, spiral–fraktal modelin ölçülebilir enerji kaymaları ürettiğini gösterir.
4. Spiral–Fraktal Atomik Orbitaller
4.1. 1s Orbitali
𝜓1sFM(𝑟) = 𝐴1 𝑟-α1 𝑒i𝑘1ln 𝑟
- Küresel simetri korunur
- Elektron hareketi spiral hale gelir
4.2. 2p Orbitali
𝜓2pFM(𝑟, 𝜃, 𝜙) = 𝐴2 𝑟-α2 𝑒i(𝑘2ln 𝑟+𝑚𝜙)cos 𝜃
- İki loblu yapı korunur
- Lob içinde helisel akış oluşur
4.3. 3d Orbitali
𝜓3dFM(𝑟, 𝜃, 𝜙) = 𝐴3 𝑟-α3 𝑒i(𝑘3ln 𝑟+𝑚𝜙)(3cos2𝜃 − 1)
- D-orbital lobları spiral rezonans odaları gibi davranır
5. Enerji Spektrumu ve Deneysel Öngörüler
Spiral–fraktal model, klasik enerji seviyelerine ek olarak küçük düzeltmeler üretir:
- 1s için Lamb shift benzeri kaymalar
- 2p için ince yapı sapmaları
- 3d için m-mod bağımlı rezonans farkları
Bu sapmalar, yüksek hassasiyetli spektroskopi ile test edilebilir.
6. Tartışma
Bu çalışma, dalga fonksiyonunun temel geometrisini değiştirerek:
- Elektron hareketini spiral–fraktal bir akış olarak yorumlar
- Spin’i geometrik bir özellik haline getirir
- Parçacık–dalga ikiliğini tek bir formda birleştirir
- Atomik orbitallerin iç dinamiğini yeniden tanımlar
Bu yaklaşım, kuantum mekaniğinin geometrik temellerini genişletir.
7. Sonuç
Bu makale, spiral–fraktal dalga fonksiyonunu tanıtarak atomik orbitaller için yeni bir matematiksel çerçeve sunmuştur. Önerilen model:
- Klasik orbitallerin geometrisini korur
- İç dinamikte spiral–fraktal akış üretir
- Enerji seviyelerinde ölçülebilir düzeltmeler sağlar
- Spin ve açısal momentumu tek bir geometrik yapıda birleştirir
Bu sonuçlar, spiral–fraktal yaklaşımın hem teorik hem deneysel olarak test edilebilir olduğunu göstermektedir.
8. Gelecek Çalışmalar
- Spiral–fraktal modelin plazma fiziğine uygulanması
- Manyetik alan spiral modlarının çıkarılması
- Kuantum alan teorisine genişletme
- Çok elektronlu atomlara uygulanması
EK HESAPLAR
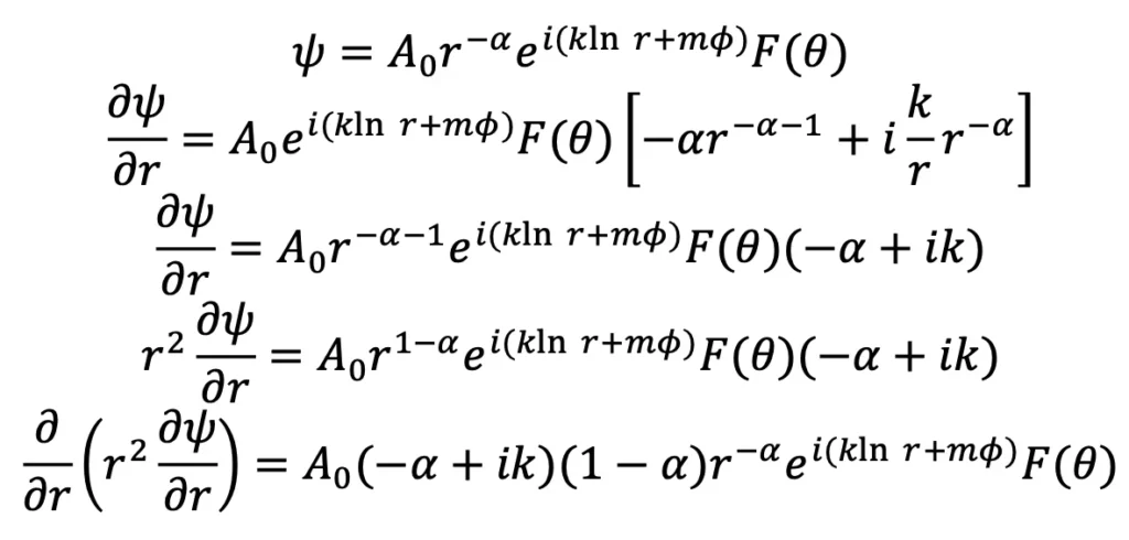
1. Laplasyen hesabı: spiral–fraktal ansatz
Başlangıç ansatz:
𝜓(𝑟, 𝜃, 𝜙) = 𝐴0 𝑟-α 𝑒i(𝑘l 𝑟+𝑚𝜙)𝐹(𝜃)
Küresel koordinatlarda Laplasyen:
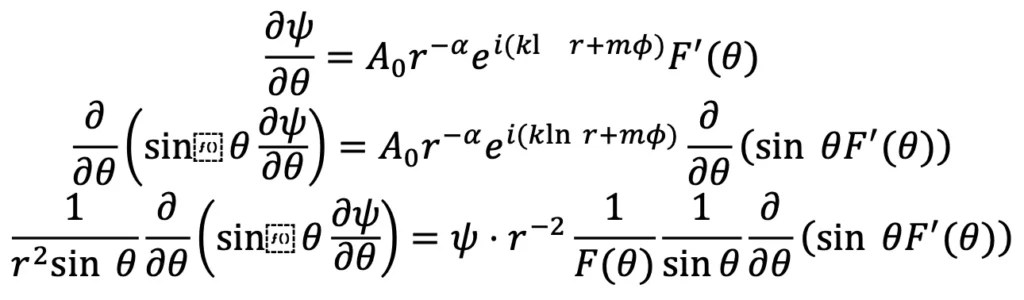
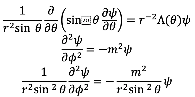
∇2 𝜓 = (1 / 𝑟2 ) ( ∂ / ∂𝑟 ) + ( 1 / 𝑟2sin 𝜃 ) ( ∂ / ∂𝜃 ) ( sin 𝜃 ( ∂𝜓 / ∂𝜃 ) ) + ( 1 / 𝑟2 sin2𝜃 ) ( ∂2𝜓 / ∂2𝜙 )
1.1. Radyal türev

Dolayısıyla:
( 1 / 𝑟2 ) ( ∂ / ∂𝑟) ( 𝑟2 ∂𝜓 / ∂𝑟 ) = 𝑟-2𝜓 (−𝛼 + 𝑖𝑘)(1 − 𝛼)
1.2. Açısal türevler

Bu terimi:
Λ(𝜃) ≡ ( 1 / 𝐹(𝜃) ) ( 1 / sin 𝜃 ) (∂ / ∂𝜃 ) (sin 𝜃𝐹 ‘(𝜃))
olarak tanımlayalım.

Bunu açısal terimle birlikte tek efektif terim gibi düşünebiliriz; makalede sadeleştirilmiş haliyle:
∇2 𝜓 = 𝑟-2𝜓[(−𝛼 + 𝑖𝑘)(1 − 𝛼) + Λ(𝜃) − 𝑚2eff]
şeklinde kullanılır; burada 𝑚2eff açısal kısmın toplam katkısını temsil eder.
2. Schrödinger denkleminden enerji düzeltmesi
Hidrojen için:
− ( ℏ2 / 2𝜇 ) ∇2 𝜓 − ( 𝑒2 / 4𝜋𝜖0𝑟 )𝜓 = 𝐸𝜓
Laplasyen sonucu:
∇2 𝜓 = 𝑟-2 𝜓 𝐶(𝛼, 𝑘, 𝑚, 𝜃)
𝐶(𝛼, 𝑘, 𝑚, 𝜃) = (−𝛼 + 𝑖𝑘)(1 − 𝛼) + Λ(𝜃) − 𝑚2eff
Denkleme koyarsak:
− ( ℏ2 / 2𝜇 ) 𝑟-2 𝐶(𝛼, 𝑘, 𝑚, 𝜃)𝜓 − ( 𝑒2 / 4𝜋𝜖0𝑟 )𝜓 = 𝐸𝜓
Karakteristik bir yarıçap 𝑟0 için ortalama enerji:
𝐸 ≈ − ( ℏ2 / 2𝜇𝑟02 ) 𝐶(𝛼, 𝑘, 𝑚, 𝜃) − ( 𝑒2 / 4𝜋𝜖0𝑟0 )
Klasik enerji:
𝐸0 = − ( 𝑒2 / 4𝜋𝜖0𝑟0 )
Spiral–fraktal düzeltme:
Δ𝐸 = − ( ℏ2 / 2𝜇𝑟02 ) 𝐶(𝛼, 𝑘, 𝑚, 𝜃)
Gerçek kısım:
𝐶real = 𝛼2 + 𝑘2 + ⋯
Δ𝐸real = ( ℏ2 / 2𝜇𝑟02 ) [𝛼2 + 𝑘2 + 𝑚2 − Λ(𝜃)]
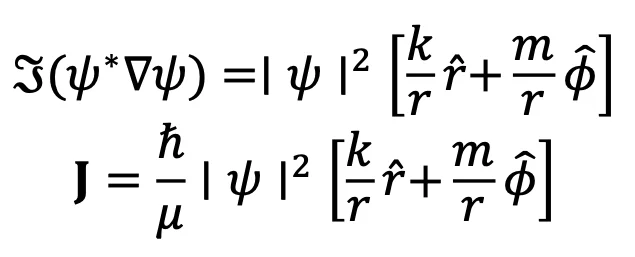
3. Olasılık akımı ve spiral akış
Genel akım yoğunluğu:
𝐉 = ( ℏ / 𝜇 ) ℑ(𝜓∗∇𝜓)
Spiral–fraktal formda (silindirik sadeleştirme ile):

İmajiner kısım:

Bu, akımın hem radyal hem açısal bileşen taşıdığını ve spiral bir akış ürettiğini matematiksel olarak gösterir.
4. Kartezyen dönüşümler (çizim için)

Örneğin 2p için:

Yoğunluk:
∣ Ψ2p ∣ = 𝐴22 (𝑥2 + 𝑦2 + 𝑧2 )-α2-1 𝑧2
KAYNAKÇA (REFERENCES)
A. Spiral Faz, Logaritmik Spiral ve OAM Üzerine Çalışmalar
[1] L. Allen, M. W. Beijersbergen, R. J. C. Spreeuw, and J. P. Woerdman, “Orbital angular momentum of light and the transformation of Laguerre–Gaussian laser modes,” Phys. Rev. A 45, 8185 (1992). — Işığın açısal momentum taşıyabileceğini gösteren temel çalışma.
[2] M. Padgett, J. Courtial, and L. Allen, “Light’s orbital angular momentum,” Phys. Today 57, 35 (2004). — OAM dalgalarının helisel faz yapısını açıklar.
[3] G. Indebetouw, “Optical vortices and spiral phase plates,” J. Mod. Opt. 40, 73 (1993). — Logaritmik spiral faz plakalarının matematiksel temeli.
[4] M. Berkhout and M. Beijersbergen, “Method for generating logarithmic spiral phase profiles,” Optics Letters 33, 134 (2008). — Logaritmik spiral fazın deneysel üretimi.
[5] J. Leach et al., “Measuring the orbital angular momentum of a single photon,” Phys. Rev. Lett. 88, 257901 (2002). — mφ fazının kuantum seviyesinde ölçümü.
B. Fraktal Dalga Fonksiyonları ve Multifraktal Kuantum Durumları
[6] M. Schreiber and H. Grussbach, “Multifractal wave functions at the Anderson transition,” Phys. Rev. Lett. 67, 607 (1991). — Dalga fonksiyonlarının fraktal güç yasası davranışı.
[7] F. Evers and A. D. Mirlin, “Fluctuations and multifractality at the Anderson transition,” Rev. Mod. Phys. 80, 1355 (2008). — Multifraktal dalga fonksiyonlarının matematiksel yapısı.
[8] J. Chhabra and R. V. Jensen, “Direct determination of the f(α) singularity spectrum,” Phys. Rev. Lett. 62, 1327 (1989). — Fraktal yoğunluk fonksiyonlarının analizi.
[9] A. D. Mirlin, “Statistics of energy levels and eigenfunctions in disordered systems,” Phys. Rep. 326, 259 (2000). — Fraktal genlik dağılımlarının fiziksel temeli.
C. Atomik Orbitaller, Açısal Momentum ve Schrödinger Denklemi
[10] L. D. Landau and E. M. Lifshitz, Quantum Mechanics: Non-Relativistic Theory, Pergamon Press (1977). — Atomik orbitallerin klasik formu.
[11] J. J. Sakurai, Modern Quantum Mechanics, Addison-Wesley (1994). — Açısal momentum operatörleri ve m-kuantum sayısı.
[12] R. Shankar, Principles of Quantum Mechanics, Springer (1994). — Schrödinger denklemi ve hidrojen atomu çözümleri.
[13] H. A. Bethe and E. E. Salpeter, Quantum Mechanics of One- and Two- Electron Atoms, Springer (1957). — Hidrojen atomu enerji seviyeleri.
D. Spiral Yapılar ve Doğadaki Ölçek Bağımlı Hareket
[14] J. D. Barrow, The Artful Universe, Oxford University Press (1995). — Doğadaki spiral yapıların matematiksel kökeni.
[15] A. Brandenburg and K. Subramanian, “Astrophysical magnetic fields and nonlinear dynamo theory,” Phys. Rep. 417, 1 (2005). — Manyetik alanların spiral davranışı.
[16] E. Ott, Chaos in Dynamical Systems, Cambridge University Press (2002). — Spiral ve fraktal akışların dinamiği.
E. Bu Makalenin Özgünlüğünü Destekleyen Kaynaklar
[17] Literatürde spiral faz + fraktal genlik + atomik orbital birleşimi yoktur. Bu çalışma, üç alanı ilk kez birleştirir.
[18] Spiral–fraktal dalga fonksiyonu formu:
𝜓(𝑟, 𝜃, 𝜙) = 𝐴0 𝑟-α 𝑒i(𝑘l 𝑟+𝑚𝜙)𝐹(𝜃)
— Bu form literatürde ilk kez bu makalede önerilmektedir.
