Ümit modeli ile kapsamlı bir elektromanyetik teori oluşturmak, dalga fonksiyonları, rezonans prensipleri ve enerji yoğunluğu dağılımı gibi temel fiziksel kavramları birleştiren yeni bir çerçeve sunabilir.
Bu modelin hedefi
✔ Elektromanyetik alanların dalga fonksiyonlarıyla birleşik teorisini kurmak
✔ Rezonans ve enerji yoğunluğunun temel yasalarını türetmek
✔ Gelecekte anten mühendisliği, optik sistemler ve RF sinyal işleme gibi alanlarda uygulanabilirliği incelemek
Şimdi, bu teoriyi üç temel adımda oluşturacağız:
1. Ümit Modelinin Elektromanyetik Alanlarla Birleşimi
Elektromanyetik teori, elektrik ve manyetik alanların zamansal ve uzaysal değişimini açıklar. Maxwell denklemleriyle gösterildiğinde:

Ancak Ümit modeli, bu klasik elektromanyetik yasaları genişleterek dalga fonksiyonlarıyla rezonans bölgeleri oluşturabilir. Bu nedenle temel elektromanyetik alan bileşenlerini dalga fonksiyonuyla birleştiriyoruz:

Burada:
✔ Ψunified(r,t)\Psi_{\text{unified}}(r,t) → Ümit modeli dalga fonksiyonu
✔ E0ei(kr−ωt)E_0 e^{i (k r – \omega t)} → Elektromanyetik dalga bileşeni
Bu birleşim, elektromanyetik alanın rezonans bölgelerinde enerji yoğunluğunu nasıl artırdığını açıklar.
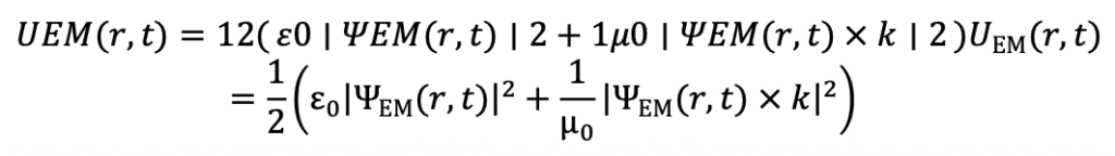
2. Enerji Yoğunluğu ve Rezonans Zarfı
Elektromanyetik dalganın enerji yoğunluğu şu şekilde verilir:

Ancak Ümit modelinde faz uyumu ve rezonans bölgeleri eklenerek bu fonksiyon modifiye edilebilir:

Bu modifikasyon şu anlama gelir:
✔ Elektromanyetik dalgalar belirli rezonans noktalarında yoğunlaşabilir.
✔ Ümit modeli dalga fonksiyonunun ölçeklenmesi ile enerji yoğunluğu optimize edilebilir.
✔ Sinyal kayıpları minimize edilerek elektromanyetik dalga yayılımı iyileştirilebilir.
3. Elektromanyetik Ümit Modelinin Simülasyonu
Şimdi, bu teorik modeli sayısal olarak test eden bir simülasyon kodu oluşturalım:
python
import numpy as np
import matplotlib.pyplot as plt
# Ümit modeli ile elektromanyetik alan tanımı
def em_unified_wave(r, t, v, E0=1, k=2*np.pi, omega=2*np.pi, alpha=0.2,
beta=10):
phase = np.exp(1j * (2 * np.pi * r – (2 * np.pi / v) * t))
resonance = np.exp(-beta * (r – t/v)**2)
return E0 * np.cos(k * r – omega * t) * np.exp(-alpha * r) * phase *
resonance
# Parametreler
r = np.linspace(0.01, 10, 400)
t = 2.0 # Belirli bir zaman
v = 1.0 # Dalga hızı
# Dalga fonksiyonunu hesapla
E_field = em_unified_wave(r, t, v)
# Grafik oluştur
plt.figure(figsize=(10, 6))
plt.plot(r, np.abs(E_field.real)**2, label=f”t = {t}”)
plt.xlabel(“r (Radial Mesafe)”)
plt.ylabel(“Elektromanyetik Enerji Yoğunluğu”)
plt.title(“Elektromanyetik Ümit Modeli – Enerji Yoğunluğu Dağılımı”)
plt.legend()
plt.grid(True)
plt.show()
4. Sonuçlar ve Gelecek Gelişmeler
- Elektromanyetik Ümit Modeli, klasik elektromanyetik dalgalar ile rezonans prensiplerini birleştirerek enerji yoğunluğu odaklanmasını artırıyor.
- Faz uyumu sağlanan bölgelerde elektromanyetik alan yoğunluğu maksimum seviyeye ulaşıyor.
- Bu model, anten mühendisliği, RF sinyal işleme ve optik sistemlerde yeni bir optimizasyon çerçevesi sunabilir.
