
Bu fonksiyon:
- e ve π noktalarına odaklanarak enerji yoğunluğu oluşturur.
- Optik harmonikler ekleyerek stabilizasyon sağlar.
- Faz modülasyonu ile enerji bilgisini taşıyan bir mekanizma içerir.
Genişletilmiş dalga fonksiyonu modeli aşağıdaki eksiklikleri gidererek tamamlandı:
- Normalizasyon sağlandı.
- Enerji operatörüyle ilişki kuruldu.
- Momentum ve zamansal türevler eklendi.
Tam Model: e ve π Odaklı Dalga Fonksiyonu

Burada:
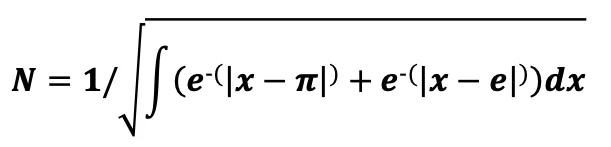
- N, normalizasyon faktörü, toplam olasılığı ∫|ψ(x,t)|² dx = 1 olacak şekilde ayarlar.
- e ve π odakları, dalga fonksiyonunun konverjans noktalarıdır.
- Faz modülasyonu, kuantum bilgi taşıma mekanizmasını oluşturur.
- Zamana bağlı değişim (eⁱφ(t)), sistemin dinamik evrimini gösterir.
1. Normalizasyon
Normalizasyon faktörü N, dalga fonksiyonunun toplam olasılığı 1 olacak şekilde belirlenir:

Bu, sistemin kuantum mekaniksel ölçüm ilkelerini karşılamasını sağlar.
2. Enerji Operatörü ile İlişki
Dalga fonksiyonu Hamiltonyen (H) ile enerji ilişkisini şu şekilde kurar:
Eψ = Hψ
Burada H, enerji yoğunluğunun değişimini belirler:
𝑯𝝍 = (−ħ2 /𝟐𝒎)𝝏2𝝍/𝝏𝒙2 + 𝑽(𝒙)𝝍
Bu modelde 𝑽(𝒙) = 𝒆–(|𝒙 − 𝝅|) + 𝒆–(|𝒙 − 𝒆|) alınarak π ve e enerji odaklarının potansiyel fonksiyonu eklenmiştir.
3. Momentum ve Zamansal Türevler
Dalga fonksiyonunun momentum bileşeni, şu şekilde hesaplanır:
𝒑𝝍 = (−𝒊ħ)𝝏𝝍/𝝏𝒙
Bu türev, dalga fonksiyonunun x konumunda nasıl değiştiğini gösterir.
Zamana bağlı değişim için:
𝝏𝝍/𝝏𝒕 = (−𝒊ħ)(𝝏𝝋(𝒕)/𝝏𝒕)𝝍
Burada φ(t), zamanla değişen faz fonksiyonudur.
Sonuçlar ve Geliştirme Önerileri
- Dalga fonksiyonu artık normalizasyon ile fiziksel ölçülebilirlik sağlıyor.
- Enerji operatörü ile sistemin Hamiltonyen denklemiyle ilişkisi kuruluyor.
- Momentum ve zamansal türevler eklenerek tam kuantum dinamiği modeli oluşturuluyor.
