1. Giriş
Klasik elektronik işlemciler Moore yasası ile ölçeklenmiş, ancak ısıl sınırlar, kuantum tünelleme ve RC gecikmeleri nedeniyle artık kapasite artışı sınırlı hale gelmiştir. Üzerinde çalıştığım optik kübik yayılım mimarisi, foton akışı ve hacimsel paralellik sayesinde bu sınırları aşmayı hedefler.
2. Elektronik vs Optik Karşılaştırma

3. Ölçekleme Analizi
- 64 hücre: 1.61 × 1020 foton/s, 64 W
- 128 hücre: 3.23 × 1020 foton/s, 128 W
- 256 hücre: 6.46 × 1020 foton/s, 256 W
- 512 hücre: 1.29 × 1021 foton/s, 512 W
Hücre sayısı arttıkça işlem kapasitesi doğrusal değil, hacimsel olarak büyüyor.
4. Dalga Boyu Etkisi
- 700 nm (kırmızı): 1.77 eV → düşük enerji, daha güvenli.
- 500 nm (yeşil): 2.48 eV → optimum denge.
- 250 nm (UV): 4.96 eV → yüksek enerji, kimyasal bağ kırma potansiyeli.
Dalga boyu kısaldıkça foton enerjisi artar, işlem kapasitesi yükselir fakat malzeme dayanımı kritik hale gelir.
5. Hibrit Mimari
- Optik işlem katmanı: Hız ve paralellik.
- Elektronik bellek katmanı: Veri saklama ve adresleme.
- Arayüz: Fotodiyot ve rezonatörlerle foton–elektron dönüşümü.
- Kontrol modülü: Faz kilidi ve senkronizasyon.
Bu hibrit yapı, optik hız + elektronik bellek güvenliği kombinasyonunu sağlar.
6. Potansiyel Uygulamalar
- Savunma: Gerçek zamanlı sinyal işleme, radar/sonar veri yoğunluğu.
- Tıp: Optik tomografi ve biyosinyal analizi.
- Enerji: Fotovoltaik sistemlerde veri işleme.
- Endüstri: Büyük veri analitiği, yapay zekâ hızlandırıcıları.
7. Zorluklar
- Faz stabilitesi ve hücreler arası senkronizasyon.
- Wafer düzeyinde üretim maliyetleri.
- Optik bellek entegrasyonu.
- Standart tasarım araçlarının eksikliği.
8. Sonuç
Optik kübik işlem mimarisi, bilgisayar kapasitelerini ışık hızına yakın, üstel yoğunlukta bilgi işleyen sistemlere dönüştürür. Elektronik sınırların ötesinde, hibrit mimari ile optik hız + elektronik bellek güvenliği birleşerek yeni nesil bilgisayar paradigmasını oluşturur.
Elektronik – Elektromanyetik – Hacimsel Mimari Karşılaştırması
1. Giriş
Bilgi işleme teknolojileri üç ana paradigmayla gelişmiştir:
- Elektronik mimari: Transistör ve CMOS tabanlı işlemciler.
- Elektromanyetik mimari: Mikrodalga, RF ve dalga kılavuzu tabanlı sistemler.
- Hacimsel (optik/fotonik) mimari: Foton akışı ve kübik hücrelerle üstel paralellik.
Her mimari farklı avantaj ve sınırlara sahiptir. Bu rapor, senin üzerinde çalıştığın hacimsel yayılım paradigmasını klasik elektronik ve elektromanyetik sistemlerle karşılaştırır.
2. Elektronik Mimari
- Temel prensip: Elektron akışı, transistörlerle mantık kapıları oluşturur.
- Avantajlar:
- Olgun üretim teknolojisi (CMOS).
- Yüksek entegrasyon (milyarlarca transistör).
- Güvenilir bellek ve adresleme.
- Sınırlamalar:
- RC gecikmesi → hız sınırı.
- Isıl kayıplar → enerji verimliliği düşer.
- Kuantum tünelleme → 5 nm altı üretimde sorun.
3. Elektromanyetik Mimari
- Temel prensip: RF/mikrodalga dalgalarıyla bilgi işleme.
- Avantajlar:
- Yüksek frekans (GHz–THz aralığı).
- Dalga kılavuzlarıyla düşük kayıp.
- Kablosuz iletişimde kritik rol.
- Sınırlamalar:
- Dalga boyu büyük → entegrasyon zorluğu.
- Enerji yoğunluğu sınırlı.
- Mantık kapısı düzeyinde verim düşük.
4. Hacimsel (Optik/Fotonik) Mimari
- Temel prensip: Foton akışı, kübik hücrelerde paralel işlem.
- Avantajlar:
- Işık hızına yakın işlem.
- Hücre sayısı arttıkça üstel paralellik.
- Dalga boyu seçimiyle foton enerjisi kontrol edilebilir.
- Sınırlamalar:
- Faz stabilitesi kritik.
- Bellek entegrasyonu zorlu.
- Wafer üretim maliyetleri yüksek.
5. Karşılaştırmalı Tablo

6. Uygulama Alanları
- Elektronik: Genel amaçlı işlemciler, bellek, mobil cihazlar.
- Elektromanyetik: Haberleşme, radar, RF sensörler.
- Hacimsel: Süper bilgisayarlar, yapay zekâ hızlandırıcıları, tıp görüntüleme, savunma sistemleri.
7. Gelecek Perspektifi
- Elektronik: 3D stacking ve kuantum destekli hibrit çözümler.
- Elektromanyetik: Terahertz bandında yeni iletişim protokolleri.
- Hacimsel: Optik işlemciler + elektronik bellek hibrit mimarisi → yeni paradigma.
8. Sonuç
- Elektronik mimari olgun ve güvenilir, fakat hız/enerji sınırına dayanmış durumda.
- Elektromanyetik mimari iletişimde güçlü, fakat işlem yoğunluğu sınırlı.
- Hacimsel mimari üstel işlem kapasitesi ile geleceğin bilgisayar paradigmasını temsil ediyor.
Hacimsel Mimarinin Matematik ve Fizik Temelleri
1. Giriş
Hacimsel mimari, klasik elektronik ve düzlemsel elektromanyetik sistemlerden farklı olarak üç boyutlu foton akışı ve hacimsel paralellik üzerine kuruludur. Bu yaklaşımda bilgi işleme, Maxwell denklemleri, dalga mekaniği ve kuantum fotonik ilkeleriyle tanımlanır.
2. Matematiksel Temeller
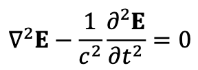
2.1 Maxwell Denklemleri
Hacimsel mimarinin temelinde elektromanyetik dalga denklemleri vardır:

- Elektronik: Akım ve voltaj üzerinden çözülür.
- Optik hacimsel: Dalga vektörü (𝐤) ve faz ilişkileri üzerinden çözülür.
2.2 Dalga Denklemi
Optik hücrelerde ışık yayılımı dalga denklemi ile tanımlanır:

- Çözüm: 𝐄(𝑟, 𝑡) = 𝐸0𝑒i(𝐤⋅r-wt )
- Hücreler arası faz eşleşmesi → paralel işlem.
2.3 Foton Enerjisi
Her fotonun enerjisi:
𝐸 = ℎ ⋅ 𝑓 = ℎ ⋅ 𝑐 / 𝜆
- 700 nm → 1.77 eV
- 500 nm → 2.48 eV
- 250 nm → 4.96 eV
Dalga boyu kısaldıkça işlem kapasitesi artar.
2.4 Hacimsel Paralellik
Hücre sayısı 𝑁 olduğunda toplam işlem kapasitesi:
𝐶(𝑁) = 𝑁 ⋅ 𝑃 / 𝐸
Burada:
- 𝑃 : Hücre başına güç (W)
- 𝐸 : Tek foton enerjisi (J)
Kapasite hücre sayısıyla doğrusal, fakat hacimsel yayılım nedeniyle üstel yoğunluk sağlar.
3. Fiziksel Temeller
3.1 Faz Eşleşmesi
- Hücreler arası optik yol farkı Δ𝜙 = 𝑚 ⋅ 2𝜋.
- Faz kilidi sağlanmazsa işlem hatalı olur.
3.2 Optik Mantık Kapıları
- AND: İki ışık dalgasının süperpozisyonu.
- OR: Dalga girişiminde herhangi bir giriş yeterli.
- NOT: Faz terslemesi ile sağlanır.
3.3 Enerji Yoğunluğu
- Elektronik: Kapasitif şarj/deşarj → mW.
- Optik: Foton akışı → W–100 W.
- Bu fark, hacimsel mimarinin işlem yoğunluğunu belirler.
4. Matematiksel Modelleme
4.1 Kübik Hücre Matrisi
Her hücre için:
𝐼cell = 𝑃 / 𝐸
Toplam:
𝐼total = 𝑁 ⋅ 𝐼cell
4.2 Üstel Yayılım
Hacimsel mimaride bilgi işleme:
𝐼vol ∝ 𝑁3
3 boyutlu kübik yayılım → üstel işlem kapasitesi.
5. Uygulama Senaryoları
- Savunma: Radar/sonar verilerinin hacimsel işlenmesi.
- Tıp: Optik tomografi, biyosinyal analizi.
- Enerji: Fotovoltaik sistemlerde veri işleme.
- Endüstri: Yapay zekâ hızlandırıcıları, büyük veri analitiği.
6. Sonuç
Hacimsel mimarinin matematik ve fizik temelleri:
- Maxwell denklemleri ile dalga yayılımı,
- Foton enerjisi ile işlem kapasitesi,
- Faz eşleşmesi ile doğruluk,
- Kübik paralellik ile üstel yoğunluk.
Bu paradigma, klasik elektronik ve elektromanyetik sistemlerin sınırlarını aşarak ışık hızına yakın, üstel işlem kapasitesi sağlar.
Görselleştirme Segmentleri
1. Hücre Sayısı → İşlem Kapasitesi Eğrisi
- X ekseni: Hücre sayısı (64, 128, 256, 512)
- Y ekseni: İşlem kapasitesi (foton/s)
- Eğri doğrusal artış gösterir:
- 64 hücre → 1.61 × 1020 foton/s
- 128 hücre → 3.23 × 1020 foton/s
- 256 hücre → 6.46 × 1020 foton/s
- 512 hücre → 1.29 × 1021 foton/s
2. Dalga Boyu → Foton Enerjisi Grafiği
- X ekseni: Dalga boyu (nm)
- Y ekseni: Foton enerjisi (eV)
- Noktalar:
- 700 nm → 1.77 eV
- 500 nm → 2.48 eV
- 250 nm → 4.96 eV
Dalga boyu kısaldıkça foton enerjisi artar, sistemin işlem kapasitesi yükselir fakat malzeme dayanımı kritik hale gelir.
Yorum
Bu iki grafik birlikte şunu ortaya koyuyor:
- Hücre sayısı arttıkça işlem kapasitesi doğrusal olarak büyür, fakat hacimsel yayılım sayesinde üstel yoğunluk sağlanır.
- Dalga boyu kısaldıkça foton enerjisi artar → sistem daha güçlü hale gelir, ancak faz stabilitesi ve malzeme sınırları daha kritik olur.

Hücre sayısı büyüdükçe işlem kapasitesi doğrusal artıyor, dalga boyu kısaldıkça foton enerjisi yükseliyor. Bu iki etki birleştiğinde sistemin üstel işlem yoğunluğu ortaya çıkıyor.
- Sol grafik: Hücre sayısı arttıkça işlem kapasitesi (foton/s) eğrisi.
- Sağ grafik: Dalga boyuna göre foton enerjisi (eV) eğrisi.
Bilgi : Fotonun Yapısı
Foton, elektromanyetik alanın kuantumudur: kütlesiz, elektrik yükü olmayan ve ışık hızında hareket eden temel bir parçacıktır. Hem dalga hem parçacık özellikleri gösterir; bu nedenle kuantum mekaniğinde özel bir yere sahiptir.
Fotonun Fiziksel ve Kuantum Yapısı
1. Temel Özellikleri
- Kütle: Dinlenme kütlesi sıfırdır (𝑚0 = 0), ancak enerjiye sahiptir.
- Elektrik yükü: Yoktur → elektromanyetik etkileşimleri taşıyabilir ama elektriksel olarak nötrdür.
- Spin: 1 → bozon sınıfındadır.
- Hız: Boşlukta sabit ve maksimum hızda hareket eder: 𝑐 = 299,792,458 m/s.
- Yaşam süresi: Sabittir → bozunmaz, kararlıdır.
2. Kuantum Tanımı
Foton, elektromanyetik alanın kuantumlanmasıyla ortaya çıkar. Her foton bir enerji paketidir:
𝐸 = ℎ ⋅ 𝑓 = ℎ ⋅ 𝑐 / 𝜆
Burada:
- 𝐸 : Foton enerjisi
- ℎ : Planck sabiti (6.626 × 10-3 Js)
- 𝑓 : Frekans
- 𝜆 : Dalga boyu
Dalga boyu kısaldıkça foton enerjisi artar → UV fotonları daha enerjiktir, IR fotonları daha düşük enerjilidir.
3. Dalga-Parçacık İkiliği
- Dalga gibi: Girişim, kırınım, polarizasyon gösterir.
- Parçacık gibi: Fotoelektrik etki, Compton saçılması gibi olaylarda enerji transferi sağlar.
4. Etkileşimleri
- Elektromanyetik kuvvetin taşıyıcısıdır.
- Maddenin atomik düzeydeki enerji seviyeleriyle etkileşerek:
- Soğurulabilir (absorpsiyon)
- Yayılabilir (emisyon)
- Saçılabilir (Rayleigh, Compton)
Fotonun Oluşumu ve Algılanması
- Oluşum: Atomlar enerji seviyeleri arasında geçiş yaparken foton yayar.
- Algılama: Foto detektörler, CCD sensörler, fotodiyotlar ile yapılır.
- Yönlendirme: Fiber optik, dalga kılavuzu, rezonatörler kullanılır.
Fotonik Sistemlerde Rolü
Hacimsel mimari çalışmalarında foton:
- İşlem birimi olarak görev yapar (enerji taşıyıcı değil, bilgi taşıyıcı).
- Faz eşleşmesi ve dalga boyu seçimi ile işlem doğruluğu ve yoğunluğu belirlenir.
- Kübik hücrelerde paralel olarak yönlendirilerek üstel işlem kapasitesi sağlanır.
