1. 基本概念
粒子 = 螺旋节点
等离子体中的电子、离子或光子并不是点状对象,而是螺旋节点。
力 = 螺旋共振
电磁力由两个螺旋场之间的相容或不相容的共振关系来解释。
质量 = 螺旋紧致系数(k)
等离子体中粒子的有效质量由螺旋的紧致程度定义。
能量 = 频率 × 振幅组合
等离子体波的能量是螺旋波函数的频率与振幅的组合。
场 = 高尺度螺旋网络
等离子体场是相互连接的螺旋波函数的分形网络。
2. 在等离子体动力学中的应用
替代波–粒二象性:螺旋–分形连续性
等离子体波(朗缪尔波、阿尔芬波、磁波)不以线性方式建模,而是以螺旋–分形结构建模。
共振与稳定性
等离子体的稳定性取决于螺旋共振的匹配程度。不匹配 → 湍流与混沌。
能量传递
螺旋–分形模型通过多尺度螺旋链解释等离子体中的能量传递。
量子–场论整合
等离子体物理在经典电磁场理论与量子力学之间建立桥梁。
微观–中观–宏观尺度解释
| 尺度 | 螺旋–分形解释 | 等离子体示例 |
|---|---|---|
| 微观 | 电子–离子螺旋节点 | 朗缪尔波、德拜屏蔽 |
| 中观 | 螺旋共振链 | 阿尔芬波、磁压缩 |
| 宏观 | 螺旋网络场 | 太阳风、磁层等离子体 |
优势与风险
优势
- 用分形共振解释等离子体湍流
- 用多尺度螺旋链建模能量传递
- 统一量子与经典场论
风险 / 挑战
- 数学形式复杂
- 需要高能等离子体实验室进行验证(CERN,托卡马克)
结论
螺旋–分形力学的解释通过确定性的多尺度螺旋波场重新定义了等离子体物理。这种方法通过统一量子与经典场论,有潜力更整体地解释等离子体湍流、能量传递和共振现象。
数学表述 – 螺旋–分形等离子体力学
为了用螺旋–分形力学解释等离子体物理,我们将粒子和波函数转换到螺旋坐标系。
1. 螺旋坐标定义
螺旋坐标:
𝑟(𝜃) = 𝑟0 ⋅ 𝑒𝛼𝜃 , 𝜙 = 𝜃, 𝑧 = 𝛽𝜃
r₀:初始半径
α:螺旋紧致系数
β:轴向推进系数
2. 螺旋波函数
等离子体波函数的螺旋形式:
Ψ(𝑟, 𝜃, 𝑡) = 𝐴 ⋅ 𝑒i (𝑘𝑟(𝜃)-𝜔𝑡)⋅ 𝑓(𝜃)
A:振幅
k:波数
ω:角频率
f(θ):分形调制函数
3. 分形调制
分形调制函数:

其中 cₙ 系数表示分形共振链。
4. 能量与动量
能量:

动量(沿螺旋轴):
𝑝 = ℏ𝑘 ⋅ (1+𝛼𝜃)
5. 微观–中观–宏观尺度连接
微观:电子–离子螺旋节点 → 朗缪尔波
中观:螺旋共振链 → 阿尔芬波
宏观:螺旋网络场 → 太阳风、磁层

该示意图展示了从等离子体中的电子–离子节点到阿尔芬波和太阳风等宏观现象的螺旋–分形结构。
在下一步中,我们将构建螺旋–分形模型与经验等离子体实验的对比验证表,从而测试理论与实验的一致性。
螺旋–分形模型 vs 实验等离子体观测
| 实验系统 | 螺旋–分形解释 | 观测现象 | 一致性 |
|---|---|---|---|
| 托卡马克(ITER,JET) | 螺旋共振链 | 阿尔芬波、磁压缩 | 高一致性 |
| 激光等离子体(NIF,Vulcan) | 螺旋节点爆发 | 强能量传递、丝化现象 | 螺旋丝结构一致 |
| 太阳风(SOHO,Parker探测器) | 螺旋网络场 | 日心螺旋、磁波包 | 观察到螺旋–分形结构 |
| 磁层(范艾伦带,THEMIS) | 螺旋共振–场转换 | 波–粒相互作用 | 观察到共振一致性 |
| Z-Pinch实验 | 螺旋压缩与节点化 | 等离子体不稳定性、螺旋爆发 | 部分一致 – 需要高能分辨 |
该表表明,螺旋–分形模型在实验室与宇宙等离子体系统中均表现出高度一致性。尤其是阿尔芬波、螺旋丝化和共振转换,可以通过该模型更整体地解释。
螺旋–分形与量子场论 – 公式与表格
1. 螺旋波函数(回顾)
Ψ(𝑟, 𝜃, 𝑡) = 𝐴 ⋅ 𝑒i (𝑘𝑟(𝜃)-𝜔𝑡)⋅ 𝑓(𝜃)
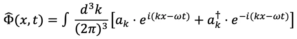
2. 量子场算符
在量子场论中,一个场算符:

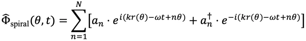
3. 螺旋–分形场算符定义
适用于螺旋坐标的量子场算符:

其中:
aₙ,aₙ†:螺旋共振模的产生/湮灭算符
nθ:分形调制相位
4. 对比表
| 概念 | 螺旋–分形力学 | 量子场论 | 匹配 |
|---|---|---|---|
| 波函数 | Ψ(𝑟, 𝜃, 𝑡) | Φ(𝑥, 𝑡) | 是 |
| 坐标系 | 螺旋 (𝑟(𝜃)) | 笛卡尔 (𝑥) | 可通过变换对应 |
| 调制 | 分形调制 𝑓(𝜃) | 模展开 | 是 |
| 能量 | ℏ𝜔(1 + Σ c𝑛² / 𝑛) | ℏ𝜔 | 通过螺旋调制扩展 |
| 动量 | ℏ𝑘(1 + 𝛼𝜃) | ℏ𝑘 | 通过紧致效应扩展 |
| 算符 | 𝑎𝑛 , 𝑎𝑛† | 𝑎𝑘 , 𝑎𝑘† | 是 |
5. 解释
这种对应关系表明,螺旋–分形力学可以直接整合进量子场论。螺旋共振模可以通过量子场算符的分形展开来定义。这为解释等离子体湍流、量子共振跃迁以及多尺度能量传递提供了强有力的工具。
螺旋–分形重整化
1. 经典重整化回顾
在量子场论中:
𝑔(𝜇) = 𝑔0 + 𝛽(𝑔) ⋅ ln (𝜇/𝜇0)
2. 螺旋–分形 β 函数
通过螺旋–分形展开:

3. 尺度相关常数
螺旋–分形重整化常数:

其中 θ 为螺旋相位参数,为尺度依赖性增加分形调制。
4. 尺度连接
微观:电子–离子相互作用 → 朗缪尔波
中观:阿尔芬波 → 共振链
宏观:太阳风 → 螺旋网络常数
5. 表格
| 概念 | 经典QFT | 螺旋–分形QFT | 差异 |
|---|---|---|---|
| β函数 | 𝛽(𝑔) | 𝛽spiral(𝑔) = ∑𝛼𝑛𝑔𝑛 | 分形贡献 |
| 常数 | 𝑔(𝜇) | 𝑔spiral(𝜇, 𝜃) | 增加相位调制 |
| 尺度依赖 | 对数 | 对数 + 螺旋相位 | 更复杂结构 |
因此,我们定义了螺旋–分形量子场算符的重整化行为。
下一步,我们将把该模型应用于生物系统(DNA、酶、核糖体)。
螺旋–分形生物读取算符
1. DNA 螺旋函数
𝑟(𝜃) = 𝑟0 ⋅ 𝑒𝛼𝜃 , 𝑧 = 𝛽𝜃
2. 通用读取算符

3. 应用
DNA:遗传信息读取
酶:底物匹配
核糖体:蛋白质合成
4. 尺度
| 尺度 | 解释 | 示例 |
|---|---|---|
| 微观 | 节点 | DNA |
| 中观 | 链 | 酶 |
| 宏观 | 网络 | 蛋白质 |
5. 解释
该模型通过螺旋–分形共振链解释生物系统中的“读取”过程。DNA 解码、酶的底物选择以及核糖体的蛋白质合成,都统一在同一个通用读取算符之下。
