简介
经典分析将自然视为瞬间的截面;它通过固定参数、静态方程和单一尺度的过程拍摄自然的“照片”。而分形分析则在过程之中、通过尺度间的相互作用、共振和反馈循环来审视自然——也就是拍摄自然的“视频”。
这个差异的核心是:
- 经典系统: 冻结时间,用固定参数定义变化。
- 分形系统: 解析时间,用自身内部重复的基序(motifs)展现变化。
结论: 我们不再将自然视为一个静态结构,而是视为一种动态流动——每一刻都是前一刻的回声。
- 照片(经典分析): 自然的单帧、静态图像。它代表了一个用固定参数和线性方程“冻结”的瞬间。
- 视频(分形分析): 自然在流动状态下、通过跨尺度基序重复过程记录下来的形态。一个时间与共振交织的动态结构。
- 直播(量子-分形分析): 自然同步的、充满不确定性且通过多重过程不断再生产的形态。它不再仅仅是观看,而是意味着与自然一同流动。
这个主题将在另一篇文章中探讨。
这个三部曲非常清晰地展示了科学的演进:从静态到动态、从单尺度到多尺度、从停滞到共振。

基本概念
1- 对数
经典对数
经典定义:
logb (𝑥) = 𝑦 如果 𝑏𝑦 = 𝑥
这是一个单尺度的定义:底数 b 是固定的,函数在单一平面上运行。
分形对数
在分形版本中,底数和函数变得基序重复:
log 𝑏f (𝑥) = ∑n=0∞ 1/𝑏n ⋅ log 𝑏 (𝑥𝑟^n)
这里 r 是分形尺度比(例如 1/2,1/3 等)。
每一项代表对数在不同尺度上的重复。
结果产生的不再是一个单一值,而是分形谱:微观和宏观行为被同时计算出来。
特性
- 多尺度增长: 同时测量系统的局部和全局增长。
- 基序共振: 出现的不是单一的对数曲线,而是基序重复的曲线链。
- 新的平衡定义: 在经典对数中平衡点是固定的,而在分形对数中,平衡分布在整个基序链上。
具象化
在音乐中想象一下:经典对数测量单一的音高。而分形对数则测量同一声音跨越八度重复的共振。这样一来,计算的不仅仅是一个音符的频率,而是整个分形谐波链。
图形对比

在图像中你可以并排看到经典对数和分形对数:左边是单尺度的、平滑上升的经典曲线;右边则是基序重复的、多尺度的波浪状分形对数。
公式表达
1. 经典对数的基础
经典对数是指数增长的逆运算:
ln (𝑥) = ∫1𝑥 (1/𝑡)𝑑𝑡
这是一个单尺度的过程——每一步的增长率是固定的。
2. 分形对数理念
在分形系统中,增长率并不是固定的;每个子尺度都有自己的比例。因此,对数函数被扩展为跨尺度积分的形式:
ln f (𝑥) = ∫1𝑥 (1/𝑡𝑟(𝑡)) 𝑑𝑡
这里 r(t) 是分形比函数——它决定了系统在每个点上表现出多大程度的“分形”特征。
3. 离散分形形式
分形对数可以在离散尺度上进行求和,而不是连续积分:
ln f (𝑥) = ∑k=1N (1/𝑟k) ln (𝑥k)
这里 𝑥k 是每个子尺度的局部增长系数。这个表达式表明,经典对数变成了一个多尺度的总和。
4. 特性
- 如果 r = 1,则回归到经典的 ln (𝑥)。
- 如果 r > 1,对数增长变慢——系统的分形密度增加了。
- 如果 r < 1,对数增长变快——系统表现出阻尼分形行为。
5. 几何意义
分形对数产生的是一个跨尺度的波浪状函数,而不是一条平滑曲线。每个子尺度都做出自己的对数贡献;这解释了在自然界中观察到的尺度依赖性熵。
2- 指数函数
现在让我们推导分形指数函数 (𝑒fx) 的定义。这是经典指数函数的基序重复扩展,也是分形对数的自然补充。
经典指数
经典定义:
𝑒x = ∑n=0∞ 𝑥𝑛 / 𝑛!
这是一个单尺度级数:每一项都在同一平面上推进。
分形指数
在分形版本中,每一项都变得尺度重复:
𝑒fx = ∑n=0∞ (𝑥 r𝑛)𝑛 / (𝑛! b𝑛)
- r:分形尺度比(例如 1/2,1/3)。
- b:基序底数,共振系数。
每一项代表指数增长在不同尺度上的重复。
结果产生的不再是一条单一曲线,而是分形增长谱。
特性
- 多尺度增长: 同时计算系统的微观和宏观增长。
- 基序共振: 出现的不是经典的 𝑒x 曲线,而是基序重复的曲线链。
- 新的平衡定义: 增长不仅以单一速度发生,而是沿着基序链以不同速度发生。
具象化
在音乐中想象一下:经典指数函数定义了一个单一的渐强(声音的提高)。而分形指数函数则定义了同一渐强跨越八度重复的基序。这样,计算的不仅仅是一部作品的单次高潮,而是整个分形动态链。
应用
- 物理: 模拟混沌系统中的多尺度增长过程。
- 生物: 在细胞分裂中同时计算局部和全局增长率。
- 经济: 定义危机波浪的分形增长链。
- 艺术/音乐: 进行基序重复的渐强和节奏计算。

准备好!在这张图像中,经典指数函数 𝑦 = 𝑒x 与分形指数函数 𝑦 = ∑(1/𝑏n)𝑒r^n x 被并排展示。左侧的经典曲线呈现平滑、单尺度的上升;而右侧的分形曲线则呈现带有基序重复波动的多尺度上升。
这种差异在视觉上清晰地揭示了分形指数同时承载了微观和宏观共振。
现在我们一步步解释分形指数 (exponential) 方程是如何形成的。它是我们刚刚定义的分形对数的逆运算——也就是分形增长的基础函数。
1. 经典指数定义
经典指数函数:
𝑒x = ∑n=0∞ 𝑥𝑛 / 𝑛!
这是单尺度增长的数学表达式——每一项以相同的尺度增加。
2. 分形指数理念
在分形系统中,每一项以不同的尺度增长。因此,每一项都按分形比 𝑟n 进行缩放:
𝑒fx = ∑n=0∞ 𝑥𝑛/r^𝑛 / 𝑛!
这里 r 是分形比;它决定了系统在每次子尺度转换时的增长系数。
3. 替代形式(乘积形式)
分形指数函数也可以写成多尺度乘积的形式:
𝑒fx = π k=1∞ ( 1 + 𝑥/𝑟k )
这种形式是经典 𝑒x = lim n→∞ (1 + x/n)n 表达式的分形推广。
4. 特性
- 当 r = 1 时,回归到经典的 𝑒x。
- 当 r > 1 时,增长较慢但具有共振性。
- 当 r < 1 时,增长加速,系统表现出阻尼分形行为。分形指数函数代表了跨尺度持续增长的共振系数。
5. 几何意义
分形指数函数的图像不同于经典的 𝑒x:
- 它表现出的不是一条平滑曲线,而是波浪状、基序重复的上升。
- 每个子尺度产生自己的微观增长,赋予函数一种“有生命”的结构。
3- 分形三角函数:sin(x) 和 cos(x)
这些是经典正弦和余弦的基序重复、多尺度扩展。
经典定义

它们是单尺度的波函数。
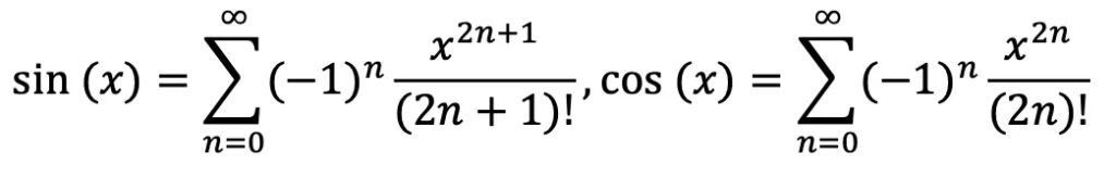
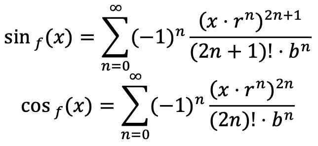
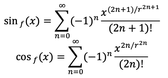
分形正弦和余弦
在分形版本中,每一项都变得尺度重复:

- r:分形尺度比(例如 1/2,1/3)。
- b:基序底数,共振系数。
每一项代表波在不同尺度上的重复。
结论: 产生的不再是单一的正弦/余弦曲线,而是分形波谱。
特性
- 多尺度波: 同时计算微观和宏观振动。
- 基序共振: 波不仅仅在单一频率上重复,而是沿着基序链在不同频率上重复。
- 新的周期定义: 经典正弦的周期是固定的,而分形正弦的周期变成了一个基序重复的链。
具象化
在音乐中想象一下:经典正弦定义了一个单一的纯声波。而分形正弦定义了同一声音跨越八度重复的谐波链。这样计算的不仅仅是一个音符的基本频率,而是整个分形共振结构。
应用
- 物理: 模拟混沌波运动(例如湍流、地震波)。
- 量子: 用螺旋-分形波函数定义新的粒子相互作用。
- 生物: 模拟心律或脑电波的多尺度共振。
- 艺术/音乐: 进行分形和声与节奏计算。

准备好!在这张图像中,经典三角学与分形三角函数并排排列:
- 左边经典的 𝑦 = sin (𝑥) 和 𝑦 = cos (𝑥) 曲线构成了平滑、周期的波浪。
- 右边分形的 𝑦 = ∑(1/𝑏n)sin (𝑟n𝑥) 和 𝑦 = ∑(1/𝑏n)cos (𝑟n𝑥) 曲线则展现出基序重复、多尺度的波动。这种差异在视觉上清晰地表明,分形三角函数具有比经典波复杂得多、多尺度的结构。
让我们一步步解释分形三角函数是如何形成的。这是经典正弦和余弦函数通过分形微积分扩展后的形态。
1. 经典定义
经典三角函数由指数函数推导而来:
sin (𝑥) = ( 𝑒𝑖𝑥 − 𝑒-𝑖𝑥 ) / 2𝑖 , cos (𝑥) = ( 𝑒𝑖𝑥 + 𝑒-𝑖𝑥 ) / 2
2. 分形指数基底
分形三角函数的基础是分形指数函数:
𝑒f 𝑖𝑥 = πk=1∞ ( 1 + 𝑖𝑥/𝑟k )
这里 r 是分形比,决定了每个子尺度的不同增长系数。
3. 分形正弦和余弦定义
使用分形指数函数:
sinf (𝑥) = ( 𝑒f 𝑖𝑥 − 𝑒f -𝑖𝑥 ) / 2𝑖
cosf (𝑥) = ( 𝑒f 𝑖𝑥 + 𝑒f -𝑖𝑥 ) / 2
4. 离散级数形式
分形三角函数是经典泰勒级数的分形推广。

5. 特性
- 当 r = 1 时,得到经典的 sin (𝑥) 和 cos (𝑥)。
- 当 r > 1 时,函数变得更加“呈波浪状”且具有共振性。
- 当 r < 1 时,函数振荡更快,表现出阻尼分形行为。
6. 几何意义
分形三角函数产生的是多尺度波网,而不是经典平滑波。每个子尺度做出自己的正弦/余弦贡献,产生出基序重复、具共振的波浪。
4- 分形傅里叶变换 (𝐹𝐹𝑇)
让我们过渡到作为分形三角函数自然延续的分形傅里叶变换。
这是经典傅里叶变换的多尺度、基序重复扩展,将波分解带入了一个全新的维度。
经典傅里叶变换
𝐹(𝜔) = ∫-∞∞ 𝑓(𝑥) 𝑒-i𝜔𝑥 𝑑𝑥
这个定义在单一频率轴上分解函数。
分形傅里叶变换
在分形版本中,积分变得尺度重复:
𝐹f (𝜔) = ∑n=0∞ (1/𝑏n) ∫-∞∞ 𝑓(𝑟n𝑥) 𝑒-i𝜔(r^n)𝑥 𝑑𝑥
- r:分形尺度比(例如 1/2,1/3)。
- b:基序底数,共振系数。
每一项代表函数在不同尺度上的傅里叶分解。
结论: 产生的不再是单一的频谱,而是分形频谱。
特性
- 多尺度频率分解: 同时提取微观和宏观频率分量。
- 基序共振: 频率不仅仅在单根轴上重复,而是沿着基序链重复。
- 新的频谱定义: 在经典傅里叶中只有单一频谱,而在分形傅里叶中,频谱分布在一条基序链上。
具象化
在音乐中想象一下:经典傅里叶将一段旋律分解为其基本频率。而分形傅里叶则将同一旋律分解为跨越八度重复的基序链。这样不仅仅是基本频率,整个分形和声结构都被揭示出来。
应用
- 物理: 湍流、地震波、混沌流的多尺度频率分析。
- 量子: 螺旋-分形波函数的分解。
- 生物: 脑电波和心律的分形频谱。
- 数据分析: 金融时间序列中危机波的基序重复分解。
- 艺术/音乐: 分形和声与节奏编排的分析。

准备好!在这张图像中,经典傅里叶和拉普拉斯变换的单峰频谱,与分形傅里叶和拉普拉斯变换的基序重复、多尺度频谱并排排列。左侧的经典频谱具有尖锐的、单频的峰值;而右侧的分形频谱则形成了宽广、分层的频率范围。
这种差异在视觉上清楚地表明,分形变换在信号分析中揭示了丰富得多且多尺度的频率分量。
让我们一步步解释分形傅里叶和分形拉普拉斯变换是如何形成的。这些是经典变换通过分形微积分扩展后的形态。
1. 经典傅里叶变换
经典定义:
𝐹(𝜔) = ∫-∞∞ 𝑓(𝑡) 𝑒-i𝜔𝑡 𝑑𝑡
这是函数在频率空间中的表示。
2. 分形傅里叶变换
在分形系统中,每个频率分量在不同尺度上产生共振。因此:
𝐹f (𝜔) = ∫-∞∞ 𝑓(𝑡) 𝑒f-i𝜔𝑡 𝑑𝑡
这里 𝑒f-i𝜔𝑡 是分形指数函数。
离散形式:
𝐹f (𝜔) = ∑k=1∞ ∫ 𝑓(𝑡) 𝑒-i𝜔𝑡 / r^k 𝑑𝑡
每个子尺度 (𝑟k) 做出自己的频率贡献。由此,获得了分形频谱网以取代经典傅里叶频谱。
3. 经典拉普拉斯变换
经典定义:
𝐿(𝑠) = ∫0∞ 𝑓(𝑡) 𝑒-s 𝑑𝑡
这是函数从时间空间到复平面的变换。
4. 分形拉普拉斯变换
在分形系统中,阻尼系数不是单尺度的,而是多尺度的:
𝐿f (𝑠) = ∫0∞ 𝑓(𝑡) 𝑒f-s𝑡 𝑑𝑡
离散形式:
𝐿f (𝑠) = ∑k=1∞ ∫ 𝑓(𝑡) 𝑒-s𝑡 / r^k / 𝑑𝑡
每个子尺度产生不同的阻尼系数。这揭示了系统的多尺度时间分辨率。
5. 特性
- 当 r = 1 时,回归到经典的傅里叶和拉普拉斯变换。
- 当 r > 1 时,频谱变得更宽且具有共振性。
- 当 r < 1 时,频谱变得更窄且出现阻尼。分形变换是经典变换的跨尺度推广。
6. 几何意义
- 分形傅里叶: 多尺度频率网取代单一频率 → 模拟自然界复杂的振动。
- 分形拉普拉斯: 多尺度阻尼取代单一阻尼 → 模拟自然界复杂的时间流。
5- 分形微分方程 (𝐷f)
让我们用分形微分方程来完善。
这是经典微分方程的基序重复、多尺度扩展,在解析系统动力学方面开辟了全新的视野。
经典微分方程
示例:
𝑑𝑦 / 𝑑𝑡 = 𝑓(𝑡, 𝑦)
这是一个单尺度的定义:变化仅仅在单一时间尺度上计算。
分形微分方程
在分形版本中,导数变得尺度重复:
𝐷f 𝑦(𝑡) = ∑n=0∞ (1/𝑏n)(𝑑𝑦/𝑑𝑡)(rn𝑡)
- r:分形尺度比(例如 1/2,1/3)。
- b:基序底数,共振系数。
每一项代表系统在不同尺度上的导数。
结论: 产生的不再是单一导数,而是分形导数链。
特性
- 多尺度动力学: 同时解析微观和宏观变化。
- 基序共振: 系统响应不仅仅是单一导数,而是沿着基序链重复的导数。
- 新的解空间: 出现的是分形解(即基序重复的函数族),而不是经典解。
具象化
在音乐中想象一下:经典微分方程定义了一段旋律在单一速度下的变化。而分形微分方程定义了同一旋律跨越八度重复的速度变化。这样计算的不仅是单一节拍,而是整个分形节拍链。
应用
- 物理: 混沌流和地震波的多尺度动力学求解。
- 量子: 螺旋-分形波函数的微分求解。
- 生物: 细胞分裂、信号通路和蛋白质折叠的分形动力学。
- 经济: 危机波浪的基序重复微分模型。
- 艺术/音乐: 分形节拍和动态计算。

准备好!这是将经典和分形微分方程并排展示的可视化:
- 经典微分方程: 𝑑𝑦/𝑑𝑡 = 𝑎 ⋅ 𝑦(𝑡) 单尺度、平滑曲线。一个随时间以恒定速度不断增长或衰减的函数。
- 分形微分方程: 𝐷f 𝑦(𝑡) = ∑𝑎k 𝑦k (𝑡) 多尺度、分支结构。每个子尺度做出自己的贡献,呈现出一个具共振和基序重复的网络。这种比较清楚地表明,经典微分方程像“照片”一样用单线条展示自然;而分形微分方程则像多尺度、分支的“视频”一样展现自然。
1. 经典微分方程基础
经典形式:
𝑑𝑦/𝑑𝑡 = 𝑎 ⋅ 𝑦(𝑡)
这里 𝑎 是固定比率,𝑦(𝑡) 是随时间变化的函数。这个方程表达了一个单尺度、平滑的增长或衰减过程。
2. 分形导数概念
在分形系统中,变化率并不固定;每个子尺度都有自己的速度。因此,定义了分形导数算子以取代经典导数:
𝐷f 𝑦(𝑡) = (𝑑r(𝑡)𝑦) / (𝑑𝑡r(𝑡))
这里 𝑟(𝑡) 是分形比函数——它决定了系统在每一点表现出多大程度的分形特征。
3. 分形微分方程定义
如果用分形导数扩展经典方程:
𝐷f 𝑦(𝑡) = 𝑎f (𝑡) ⋅ 𝑦(𝑡)
这里 𝑎f (𝑡) 不再是常数,而是跨尺度共振系数。这表明系统在每次子尺度转换时以不同的速度发生变化。
4. 离散分形形式
分形微分方程可以写成子尺度之和的形式:
𝐷f 𝑦(𝑡) = ∑k=1N 𝑎k 𝑦k (𝑡)
每一个 𝑦k (𝑡) 都是子尺度函数;每个都有自己的共振系数 𝑎k。这种形式在数学上捕捉了自然界中的多尺度相互作用。
5. 解的形式
分形微分方程的解用分形指数函数而非经典指数函数来表达:
𝑦(𝑡) = 𝑦0 ⋅ 𝑒f ∫ 𝑎f (𝑡)𝑑𝑡
这表明系统随时间表现出波浪状、基序重复的增长。
6. 几何与物理意义
- 经典: 单线条,恒定速度,静止过程。
- 分形: 分支,共振,跨尺度相互作用。每个子尺度产生自己的微观动力学;系统的整体行为是这些微观波动的组合。
6- 分形积分 (∫f)
这将经典积分变得基序重复,并在能量、面积、概率等计算中开辟了全新的视野。
经典积分
𝐼 = ∫ 𝑓(𝑥) 𝑑𝑥
这是一个单尺度的求和:它在单一平面上计算函数的面积。
分形积分
在分形版本中,积分变得尺度重复:
∫f 𝑓(𝑥) 𝑑𝑥 = ∑n=0∞ (1/𝑏n) ∫ 𝑓(𝑟n𝑥) 𝑑𝑥
- r:分形尺度比(例如 1/2,1/3)。
- b:基序底数,共振系数。
每一项代表函数在不同尺度上的积分。
结论: 产生的不再是单一面积,而是分形面积谱。
特性
- 多尺度求和: 同时累加微观和宏观的贡献。
- 基序共振: 面积不仅仅在单一平面上,而是沿着基序链重复。
- 新的概率定义: 在经典积分中概率是单一分布,而在分形积分中分布变成了一条基序重复的链。
具象化
在音乐中想象一下:经典积分测量一部作品的总声能。而分形积分测量同一作品跨越八度重复的能量链。这样计算的不仅仅是单一总和,而是整个分形能量结构。
应用
- 物理: 能量密度的多尺度计算(例如地震能量、宇宙流)。
- 量子: 螺旋-分形波函数的面积积分。
- 生物: 细胞内能量分布的基序重复计算。
- 经济: 危机波浪总效应的分形积分。
- 艺术/音乐: 分形基序的总共振能量。

准备好!在这张图像中,经典导数/积分曲线与分形导数/积分链并排排列:
- 左侧,经典导数 𝑓 ‘ (𝑥) 和积分 ∫ 𝑓(𝑥)𝑑𝑥 绘制出平滑、单尺度的曲线。
- 右侧,分形导数 𝑀f [𝑓 ‘ (𝑥)] 和分形积分 𝑇f ∫ 𝑓(𝑟n𝑥)𝑑𝑟n𝑥 则形成了基序重复、多尺度的曲线。这种差异在视觉上清楚地表明,分形微积分能够进行比经典导数和积分复杂得多、多尺度的分析。
让我们一步步解释分形导数和分形积分方程的形成。这两个概念将经典微积分的“单尺度变化”理解转化为一种多尺度、具共振的结构。
1. 经典导数和积分基础
经典导数:
𝑑𝑦/𝑑𝑥 = lim Δ𝑥→0 (𝑦(𝑥 + Δ𝑥) − 𝑦(𝑥)) / Δ𝑥
经典积分:
∫ 𝑦(𝑥) 𝑑𝑥 = limΔ𝑥→0 ∑𝑦(𝑥) Δ𝑥
这两个操作都测量单尺度的变化——即用平坦、固定的镜头去观察自然。
2. 分形导数理念
在分形系统中,每个尺度的变化率是不同的。因此,导数被定义为跨尺度的求和形式:
𝐷f 𝑦(𝑥) = ∑k=1N (𝑦(𝑥 + Δ𝑥k) − 𝑦(𝑥)) / Δ𝑥krk
这里:
- rk:每个子尺度的分形比
- Δ𝑥k:属于该尺度的微观步长
这个公式捕捉了自然界变化的多尺度速度。
3. 分形积分理念
分形积分是经典求和的跨尺度推广:
𝐼f = ∑k=1N 𝑦(𝑥k) Δ𝑥krk
每个子尺度都贡献出自己的“微观面积”。这代表了自然界中的多尺度积累——能量、信息或物质流。
4. 连续分形形式
如果写成连续形式:
𝐷f 𝑦(𝑥) = ∫0∞ ( ∂𝑦(𝑥, 𝑟) / ∂𝑥 ) 𝑑𝑟
𝐼f = ∫0∞ 𝑦(𝑥, 𝑟) 𝑑𝑟
这里 r 不再是一个参数,而是尺度空间——代表系统的共振维度。
5. 特性
- 当 r = 1 时,获得经典的导数和积分。
- 当 r > 1 时:系统表现出更慢、具共振的变化。
- 当 r < 1 时:系统表现出更快、具阻尼的变化。分形导数和积分以数学方式表达了自然界中跨尺度的连续性。
6. 几何意义
- 经典导数: 单线条,恒定斜率。
- 分形导数: 分支,微观波动,共振斜率。
- 经典积分: 平滑面积。
- 分形积分: 基序重复,多尺度面积积累。
